摘 要:本发明属于食品生物技术与功能食品加工技术领域,公开了一种碳水化合物酶介导的无添加亚麻籽乳粉及其制备方法。本发明以微波脱毒脱胶亚麻籽,通过酶解实现植物乳中油滴的液体微囊化界面修饰,使用简单、低成本的喷雾干燥实现固体粉末微囊化处理,获得了一种无添加外源热促稳剂、结构稳定、各方面营养素含量较高且具有高复溶性的的亚麻籽乳粉。所述制备方法绿色环保,无需外源性添加剂即可维持产品稳定性,制备得到的亚麻籽长存植物乳粉安全、营养、美味、纯天然、便携,适于推广应用。
权利要求书
1.一种碳水化合物酶介导的无添加亚麻籽乳粉的制备方法,其特征在于,采用碳水化合物酶酶解处理亚麻籽乳后,喷雾干燥得到无添加亚麻籽乳粉。
2.根据权利要求1所述的制备方法,其特征在于,所述亚麻籽乳的制备方法包括:对已脱胶的亚麻籽进行微波预处理,然后浸泡、胶体研磨,固液分离得到亚麻籽乳。
3.根据权利要求2所述的制备方法,其特征在于,所述浸泡、胶体研磨的方法为:按照1:5-1:10的固液比浸泡1-12h,然后胶体研磨8-30min。
4.根据权利要求1所述的制备方法,其特征在于,所述碳水化合物酶包括半纤维素酶、纤维素酶、葡糖淀粉酶、木聚糖酶中的一种。
5.根据权利要求4所述的制备方法,其特征在于,所述碳水化合物酶为半纤维素酶。
6.根据权利要求1所述的制备方法,其特征在于,采用碳水化合物酶酶解处理亚麻籽乳后,还包括70-90℃水浴5-15min的灭酶处理。
7.根据权利要求1所述的制备方法,其特征在于,所述喷雾干燥的进口温度为130-180℃,出口温度为90-100℃。
8.如权利要求1-7任一项所述的制备方法制备得到的无添加亚麻籽乳粉。
9.根据权利要求8所述的无添加亚麻籽乳粉,其特征在于,蛋白含量≥26.0g/100g,总酚含量≥88.1mg没食子酸/100g,总糖含量≥178.3mg没食子酸/100g,溶解度≥80.4%。
10.如权利要求8-9任一项所述的无添加亚麻籽乳粉在功能性食品、保健品、特殊食品领域中的应用。
技术领域
本发明属于食品生物技术与功能食品加工技术领域,具体涉及一种碳水化合物酶介导的无添加亚麻籽乳粉及其制备方法。
背景技术
动物源性蛋白质虽具有高生物价的特点,但其生产系统面临资源密集型困境——畜牧业贡献了全球14.5%的温室气体排放,且需消耗9%的淡水资源。在此背景下,植物源性蛋白质作为可持续替代方案展现出显著优势:其生产过程的碳足迹较动物蛋白降低40-60%,资源利用效率提高3-5倍。从营养学角度,植物蛋白不仅具备低胆固醇(<5mg/100g)和低饱和脂肪酸(<1g/100g)特性,更富含膳食纤维(2-15g/100g)及植物化学活性物质(如多酚、黄酮类化合物)。在特殊营养需求领域,植物基饮品的替代价值尤为突出。流行病学调查显示,亚洲、中东及撒哈拉以南地区成年人群乳糖酶缺乏症患病率高达80%-100%,显著高于欧美人群(<20%)。这种遗传性乳糖代谢障碍推动了植物乳制品的代际传承,如中国传统豆浆消费量已达人均6.2kg/年,且复合增长率保持在8.3%。
过去6年全世界植物基饮料市场规模一直呈现增长趋势。中国是全球最大的植物基饮料市场,市场规模占比达34%。中国消费者对植物基饮品的接受度加速提升,市场发展空间较大。亚麻籽作为一种新型的功能性原料,不仅富含人体所需的必需脂肪酸α-亚麻酸(ALA),还富含天然胶体大分子亚麻籽胶,以亚麻籽为原料,研究开发口感爽滑、风味浓郁、营养丰富、易于吸收且方便运输保存的饮料产品,可充分利用亚麻籽的营养保健价值,利于更好地开发利用亚麻籽蛋白和亚麻籽油脂等植物性资源,广泛适合婴幼儿、青少年和中老年人饮用。
然而,市售亚麻籽粉均为亚麻籽熟化后直接物理研磨成粉进行直接冲服,其溶解分散性较低无法完全溶解,颗粒感较重影响口感。亚麻籽油微胶囊粉虽然可以解决溶解分散性的问题,但该类产品利用变性淀粉、麦芽糊精等对亚麻籽油进行乳化、包埋,并不属于亚麻籽植物乳粉,且固体植物饮料加工过程中在原料创新、工艺绿色无添加、品质稳定性兼具营养价值、产品品质提升等方面还存在一些难题,目前产业主要使用的方法仍然为依赖外源添加蛋白、多糖、磷脂等小分子乳化剂稳定植物基乳粉的油脂微囊颗粒,亟需绿色升级。
因此,开发一种可以综合提升亚麻籽植物乳粉的产品性能,提高其营养价值、稳定性、食用便捷性及食用品质,平衡亚麻籽乳粉的健康属性与加工性能的制备方法就成为了本领域技术人员亟需解决的技术问题。
发明内容
有鉴于此,本发明公开了一种碳水化合物酶介导的无添加亚麻籽乳粉及其制备方法。本发明利用亚麻籽植物乳绿色酶解技术调控植物乳物理、化学自稳定性,改变粒径分布、液滴表面电荷分布及乳粉的溶解度,同时调节亚麻籽植物乳的风味,该方法绿色节能节水,显著提高了亚麻籽植物乳及乳粉的营养价值(营养素含量、某些必需氨基酸含量)、稳定性能(粒径、电位、TSI、微观结构)、健康属性(无添加外源促稳剂)和食用品质(高溶解度),通过酶解实现植物乳中油滴的液体微囊化界面修饰,使用简单、低成本的喷雾干燥实现固体粉末微囊化处理,最终实现了无需添加外源稳定剂和加热促稳剂的微胶囊粉末状态较好的结构完整高蛋白高溶解度的亚麻籽乳粉的绿色制备。
为了实现上述目的,本发明的第一个目的是提供一种碳水化合物酶介导的无添加亚麻籽乳粉的制备方法,采用如下技术方案:
一种碳水化合物酶介导的无添加亚麻籽乳粉的制备方法,采用碳水化合物酶酶解处理亚麻籽乳后,喷雾干燥得到无添加亚麻籽乳粉。
值得说明的是,酶解技术可促进细胞内植物营养素的释放,提高亚麻籽乳稳定性,改善其感官品质。喷雾干燥技术可将水包油乳液从液体转变为固体粉末,从而保证了更方便的储存和运输条件,防止了乳液热力学不稳定体系失稳并可有效降低运输成本。植物乳粉的干燥形式使其在储存和运输上更为方便,减少了对冷链物流的依赖,延长了保质期,降低成本。但亚麻籽含大量非淀粉多糖(如阿拉伯木聚糖、葡甘聚糖)、纤维素、半纤维素,以及少量淀粉,这类碳水化合物分子量大、水溶性差且会形成空间屏障,复杂碳水化合物易在油脂一水界面聚集,阻碍亚麻籽蛋白与油脂的接触吸附,导致界面膜形成缓慢、结构松散。
未降解的碳水化合物使乳液黏度升高,雾化时液滴易聚结,且干燥过程中水分蒸发受阻,易导致微胶囊结构塌陷。亚麻籽中碳水化合物的亲水性与油脂的疏水性差异大,在界面形成“亲水一疏水分离区”,加剧乳液分层,影响喷雾干燥前驱体的稳定性。在喷粉阶段,高黏度乳液雾化不均匀,液滴易变形;碳水化合物聚集导致微胶囊基质多孔,油脂易渗漏,难以形成完整球形液滴。再溶解过程中未降解的碳水化合物易与蛋白缠绕聚集,阻碍蛋白向油脂一水界面扩散,导致界面膜重组缓慢、稳定性差。碳水化合物酶酶解后降低乳液黏度,使碳水化合物降解为小分子后,乳液流动性提升,减少液滴聚结,为蛋白吸附创造均匀的界面环境。
本发明利用酶解打破碳水化合物与亚麻籽蛋白的相互作用(如氢键、疏水作用),释放游离蛋白,使其能快速扩散至油脂一水界面。小分子碳水化合物(低聚糖、葡萄糖等)亲水性适中,可与蛋白协同吸附于界面,填补蛋白界面膜的孔隙。小分子碳水化合物分子堆积更致密,减少基质中的孔隙和氧气通道,既保护油脂液滴的球形结构,又降低氧化风险,提升其抗剪切(雾化过程)和抗热(干燥高温)能力。由此,本发明通过酶解实现植物乳中油滴的液体微囊化界面修饰,其中微囊芯材为经过酶解耦合湿磨溶出的天然亚麻籽油及其脂质伴随物如植物甾醇、维生素E,壁材为内源天然亚麻籽胶多糖、油体蛋白等膜蛋白、膜磷脂与膜吸附贮藏蛋白等。喷雾干燥时,小分子碳水化合物快速脱水固化,形成光滑、致密的玻璃态外壳,锁定液滴的球形结构,避免因水分蒸发不均或基质多孔导致的塌陷、不规则变形。致密的“蛋白一碳水复合基质”减少油脂向表面迁移,确保液滴内部油脂被完整包裹,最终呈现完整球形。喷粉后的球形微胶囊溶解时,小分子碳水化合物易溶于水,快速释放包裹的蛋白和油脂,无碳水化合物的缠绕阻碍。游离蛋白在无空间障碍的情况下,能迅速吸附至油脂一水界面,结合小分子碳水的填充作用,快速重组为连续、致密的稳定界面膜,,能抵御外界剪切、氧化等干扰,兼具促蛋白等溶出和界面增强促稳作用,避免再溶解后乳液分层,改善其溶解分散性,促进亚麻籽乳粉产业发展。
因此,本发明利用酶解、喷雾干燥所得植物乳粉具有较高的蛋白质含量及较好溶解度,温水溶解后口感顺滑。相较于液体乳制品有更易运输和存储的优势。
进一步的,所述亚麻籽乳的制备方法包括:对已脱胶的亚麻籽进行微波预处理,然后浸泡、胶体研磨,固液分离得到亚麻籽乳。
优选的,所述固液分离的筛网是200目。
更进一步的,所述浸泡、胶体研磨的方法为:按照1:5-1:10的固液比浸泡1-12h,然后胶体研磨8-30min。
本发明中,对已脱胶的亚麻籽进行微波预处理的方法包括先将亚麻籽进行脱胶处理,再将亚麻籽调水至13%,4℃静置8-12h,然后对亚麻籽进行微波处理以达到脱毒生香的效果。所述微波处理的条件为600-800W处理6-12min。
值得说明的是,利用微波进行对亚麻籽熟制处理不仅起到增香效果,还可以提高复合乳的总酚类和木酚类质量评分,此外,对于亚麻籽还能起到脱除生氰糖苷,保证复合乳的安全性。微波熟制亚麻籽相较于其他熟制技术(如烘烤、蒸煮或炒制)具有以下显著优势:
(1)加热速度快:微波通过直接作用于亚麻籽中的水分子和极性分子,实现内外同时加热,熟制时间大幅缩短(通常仅需几分钟),而传统烘烤或炒制可能需要更长时间。(2)减少热敏成分损失:微波加热时间短,可更好地保留亚麻籽中的ω-3脂肪酸(α-亚麻酸)、抗氧化物质(如木酚素)和维生素(如B族维生素),避免长时间高温导致的氧化降解。(3)降低蛋白质变性:相比高温烘烤,微波处理对蛋白质结构的破坏较小。(4)保持色泽与风味:微波处理的亚麻籽颜色更均匀,避免传统方法导致的色泽变深或苦味。(5)能耗低:相比传统烤箱或炒锅,微波能耗更低。(6)无明火或高温表面:减少火灾风险,操作环境更安全。
进一步的,所述碳水化合物酶包括半纤维素酶、纤维素酶、葡糖淀粉酶、木聚糖酶中的一种。
值得说明的是,为了提高植物营养素在植物乳中的溶出率,酶辅助提取被认为是一种绿色环保方法,它可以提高植物基质中蛋白质、多酚等营养素的提取率,并可以通过修饰蛋白质结构改善其功能特性。
利用酶解技术,本发明在营养素溶出、黏度调控、感官风味改善、稳定性提高、界面调控改善溶解度等方面提高亚麻籽植物乳的食用品质。
考虑到亚麻籽体系的核心界面问题来自非淀粉多糖(膳食纤维等)的空间阻隔,而非蛋白本身的乳化活性缺陷。蛋白酶仅降解蛋白,无法消除碳水化合物在油脂-水界面形成的物理屏障,仍会阻碍蛋白与油脂的有效吸附,界面膜仍可能松散。且过度酶解会导致蛋白肽分子量过小,虽能提升初期乳化性,但界面膜的机械强度和韧性下降,难以抵御喷雾干燥的剪切和高温,易导致油脂渗漏。同时,蛋白酶水解蛋白会释放大量疏水氨基酸,增加体系疏水性,易导致蛋白肽聚集、乳液分层,尤其在高酶解度下,乳液稳定性显著下降,影响喷雾干燥前驱体的均一性。部分亚麻籽蛋白含硫氨基酸,酶解后可能产生异味肽(如苦味肽),影响产品感官品质,且后续难以去除。亚麻籽中未降解的复杂碳水化合物仍会导致乳液黏度偏高,雾化时液滴易聚结,喷粉后微胶囊多孔、结构松散,油脂液滴难以形成完整球形。
本发明采用碳水化合物酶直接降解亚麻籽中干扰界面的非淀粉多糖(阿拉伯木聚糖、纤维素等),打破碳水化合物形成的空间屏障,让亚麻籽蛋白自然释放并快速吸附至油脂-水界面,无需依赖蛋白改性即可形成致密界面膜。其酶解产物(低聚糖、单糖、短链多糖片段)亲水性适中,可与蛋白协同填充界面孔隙,形成“蛋白-碳水复合界面膜”,提升界面膜的机械强度和抗干扰能力。再溶解时,小分子碳水化合物易溶于水,快速释放包裹的蛋白和油脂,无碳水与蛋白的缠绕阻碍,蛋白能迅速扩散至界面并重组为稳定界面膜。酶解产物(低聚糖)本身具有一定的稳定性,可与重组界面膜结合,进一步增强其抗剪切、抗氧化能力,长期维持乳液稳定。碳水化合物酶(木聚糖酶、纤维素酶等)作用条件温和(pH4-6、温度50-60℃),与亚麻籽乳体系的天然环境兼容性高,酶解效率稳定,产物均一,仅降解碳水化合物,不破坏蛋白的氨基酸组成,避免苦味肽等不良产物,保持产品感官品质;且酶解后无需复杂灭活步骤,工艺更简洁。共轭香气前体作为风味成分的潜在来源,其含量远远超过游离状态。结合风味前体本身没有香气或难以挥发,为了释放这些潜在的风味前体物质,酶水解作用显著,通常用于水解共轭香气糖苷键以释放香气化合物或减少不良风味。外切酶每次从多肽链的末端切断释放一个氨基酸,将苦味肽彻底降解为氨基酸和小分子多肽,从而消除苦味。同时,生成的植物蛋白氨基酸水解液与还原糖发生美拉德反应,产生各种不同风味的天然香气和滋味。植物细胞壁多糖降解酶可裂解细胞壁主要组成纯/杂多糖中的β-1,4-糖苷键、β-1,6-糖苷键、α-1,4-糖苷键等化合键,破坏细胞壁屏障,分解不溶性纤维、生成低分子量糖、释放蛋白质等胞内化合物,有效提升植物营养素的释放率。酶解过程中释放的两亲性分子会迅速吸附在油水界面上,形成物理稳定性良好的乳状液滴。同时,当抗氧化活性较好的水解物被吸附在界面上时,它们可以作为一种物理防御屏障。酶解可以促进多糖、蛋白、酚类等物质的释放,这些外源成分对油脂体(oilbodies,OBs)的稳定性发挥重要的作用。带电的多糖与OBs表面蛋白相互作用,通过增加空间位阻,减少絮凝损耗形成“第二膜”,同时多糖也可改变水相的流变特性,充分保持了界面层的粘弹性。两亲性的外源蛋白容易附着在OBs膜上,与OBs膜或与多糖相互作用,增强静电斥力与空间位阻,改变界面厚度,提高OBs的稳定性。多酚与蛋白质形成非共价键,例如氢键和疏水作用力,可有效清除自由基和螯合过渡金属,提高OBs氧化稳定性。酶解技术通过“自上而下”的生物加工方式,从“界面膜重构”与“连续相优化”两个维度协同作用,不仅显著提升了亚麻籽乳粉在水中的溶解速度和分散均匀度,更通过增强颗粒间的排斥能垒,赋予了其卓越的长期分散稳定性,为解决亚麻籽乳粉易沉降、结块等问题提供了有效策略。
更进一步的,所述碳水化合物酶为半纤维素酶。
半纤维素酶作为一种高效生物催化剂,能特异性降解植物细胞壁中的半纤维素组分,显著提升原料的利用率与产品得率。在谷物基或纤维强化食品中,通过酶解作用,可有效软化组织质构,改善产品的持水性与柔软度,同时减轻人体消化负担,增强膳食纤维的可及性。
值得说明的是,亚麻籽乳的独特性决定了半纤维素酶的精准匹配性。碳水主导的“界面障碍”是亚麻籽乳的特有问题(区别于大豆乳、豌豆乳等其他植物乳的界面问题多来自蛋白本身的乳化缺陷,而亚麻籽乳中蛋白乳化活性尚可,但被半纤维素的物理屏障抑制),亚麻籽乳中半纤维素以阿拉伯木聚糖为核心,骨架是木糖通过β-1,4糖苷键连接,侧链富含阿拉伯糖、葡萄糖醛酸等取代基,形成致密的支链结构。半纤维素酶其核心优势在于能够将大分子非水溶性膳食纤维(阿拉伯木聚糖等)定向转化为益生元成分(如低聚木糖),半纤维素酶(含木聚糖酶、阿拉伯呋喃糖苷酶等复合酶系)可协同作用:内切木聚糖酶切断主链,侧链酶去除取代基,实现对半纤维素的定向、高效降解,这是针对亚麻籽半纤维素结构的专属适配。不仅增强了产品的肠道健康功能,也减少了因纤维过多导致的粗糙口感与沉淀问题,从而优化终产品的稳定性和顺滑度。这一过程还能释放被细胞壁包埋的油脂、风味物质及结合态的多酚、黄酮类营养素,大幅提升食品的风味浓度与营养密度。此外,半纤维素酶的温和加工特性避免了传统化学或物理精炼可能带来的营养损失与副产物,符合清洁标签的行业趋势。其宽广的温度与pH适应性也使其能够灵活适配从烘焙、酿造到植物基饮料等多种食品加工体系,展现出卓越的工艺通用性。
特别的,半纤维素酶通过对细胞壁多糖的靶向降解机制实现亚麻籽乳液体系中的界面调控,从而显著影响蛋白质与多糖的相互作用、界面吸附行为以及乳液稳定性的动态演变。该过程不仅涉及底物结构的物理重构,还引发一系列胶体化学层面的功能性变化。具体的,半纤维素酶可有效水解连接木质素-半纤维素网络的糖苷键,破坏细胞壁完整性,促进胞内蛋白和功能性多糖的溶出。这一处理一方面显著提高了目标蛋白的回收率,另一方面也有效改变了提取体系中生物大分子的组成比例。经半纤维素酶处理后,亚麻籽体系中可溶性蛋白浓度提升的同时还会释放出大量阿拉伯木聚糖类半纤维素片段。这些新生成的亲水性多糖片段能够与游离蛋白发生非共价相互作用,形成蛋白-多糖复合物,进而改变其在油水界面的吸附动力学。
更重要的是,半纤维素酶介导的结构修饰直接影响亚麻籽乳液的长期稳定性。降解产物中的低分子量多糖片段可作为静电稳定剂或空间位阻因子,抑制液滴聚集;而部分保留支链结构的高分子量组分则有助于构建三维网络结构,增强连续相粘弹性,从而延缓重力沉降。此外,酶解过程中可能暴露的疏水性位点亦能促进蛋白向界面迁移,进一步优化乳化膜的致密性和机械强度。既能降低乳液黏度(适配雾化需求),又不会因产物过小导致基质强度不足(如单糖易吸湿),与蛋白协同形成的“蛋白-低聚糖复合基质”,喷雾干燥时快速固化,形成致密、光滑的球形微胶囊——这是针对亚麻籽乳喷粉工艺特性的专属优化,而非通用酶解的间接效果。再溶解阶段,低聚糖易溶于水,快速释放蛋白与油脂,无半纤维素的缠绕阻碍,蛋白能迅速重组为稳定界面膜——这与亚麻籽乳“蛋白乳化活性强但易被缠绕”的结构特性高度协同,是其他酶类无法实现的。因此,本发明中,半纤维素酶不仅是提升植物蛋白提取效率的关键工具,更是实现乳液表界面工程精准调控的重要生物催化剂,为开发高性能植物基功能性食品提供了创新路径。
进一步的,采用碳水化合物酶酶解处理亚麻籽乳后,还包括70-90℃水浴5-15min的灭酶处理。
值得说明的是,本发明通过灭酶处理一方面破坏酶的活性部位,使其失去催化活性,终止酶解反应;另一方面,通过灭酶处理时产生的热效应可以形成更致密的界面网络结构,有效提升亚麻籽乳的乳液稳定性。
进一步的,所述喷雾干燥的进口温度为130-180℃,出口温度为90-100℃。
传统植物基乳粉的喷雾干燥工艺常面临两大挑战:一是为维持乳液体系稳定,需依赖大量外源乳化剂与稳定剂;二是高温干燥过程易导致热敏性营养素损失及风味劣变。对此,本发明基于亚麻籽原料的天然特性,通过优化全流程工艺,旨在实现清洁标签与营养保留的双重目标。亚麻籽富含水溶性亚麻籽胶多糖,其本身具备优异的增稠与乳化能力,可在油-水界面形成稳定的界面膜,有效防止油滴聚集,从而部分或完全替代合成胶体(如CMC、黄原胶),减少外源添加剂的依赖。在喷雾干燥过程中,通过精确控制均质参数与进口温度,亚麻籽蛋白在热效应下能够展开并形成致密的界面网络结构,将油滴有效包埋与固化于乳粉颗粒内部,显著提升产品在复水后的乳液稳定性与分散性。此外,工艺上的精准控温有效保留了亚麻籽中的木酚素等活性成分,这不仅有助于维持产品总多酚含量,其本身也能柔和口感,降低植物基产品常有的涩味感知。同时,亚麻籽所富含的α一亚麻酸(ALA)得以最大程度保留,赋予了终产品突出的必需脂肪酸营养价值。
本发明的第二个目的在于提供一种如上所述的制备方法制备得到的无添加亚麻籽乳粉。
值得说明的是,亚麻籽富含水溶性亚麻籽胶多糖,其本身具备优异的增稠与乳化能力,可在油一水界面形成稳定的界面膜,有效防止油滴聚集,从而部分或完全替代合成胶体(如CMC、黄原胶),减少外源添加剂的依赖。现有技术多聚焦亚麻籽与其他原料(花生、大豆等)的复合应用,或单一亚麻籽的基础加工,或依赖外源添加变性淀粉、麦芽糊精、蛋白等乳化稳定剂,核心目标是“利用外源添加补充营养或替代添加剂”,但未解决单一亚麻籽植物乳喷雾干燥粉末体系的固有技术瓶颈;本发明则针对单独亚麻籽体系的独特问题,通过靶向技术创新实现“清洁标签+高稳定性+全值化”突破。
进一步的,所述无添加亚麻籽乳粉中,蛋白含量≥26.0g/100g,总酚含量≥88.1mg没食子酸/100g,总糖含量≥178.3mg没食子酸/100g,溶解度≥80.4%。
本发明酶解后的亚麻籽及亚麻籽乳粉相较于未酶解组其营养素含量及溶解度均有较大提升,营养价值远高于市售同类产品。
以及,本发明的第三个目的在于提供所述无添加亚麻籽乳粉在功能性食品、保健品、特殊食品领域中的应用。
与现有技术相比,本发明利用酶解结合喷雾干燥技术在普通亚麻籽乳及乳粉营养素溶出及分散性方面均有较大提升,且目前无亚麻籽乳粉的生产制备先例,具有足够创新性及可行性。该方法工艺绿色,与市售其他植物乳粉相比,具有明显的功能及营养优势,且制备的亚麻籽植物乳粉安全、营养、美味,适于推广应用。
附图说明
为了更清楚地说明本发明实施例或现有技术中的技术方案,下面将对实施例或现有技术描述中所需要使用的附图作简单地介绍,显而易见地,下面描述中的附图仅仅是本发明的实施例,对于本领域普通技术人员来讲,在不付出创造性劳动的前提下,还可以根据提供的附图获得其他的附图。
图1为不同酶解亚麻籽植物乳物理(热)稳定性。a)TSI,b)黏度,c)电位,d)粒径。
图1
图2为不同酶解对亚麻籽植物乳营养素含量的影响。a)总固,b)蛋白含量,c)总糖含量,d)总酚含量。
图2
图3为所制得亚麻籽植物乳的CLSM观察图。
图3
图4为亚麻籽酶解植物乳及亚麻籽植物乳粉绿色制备工艺图。
图4
图5为不同酶解亚麻籽植物乳粉的物理稳定性及水分含量。a,b)粒径,c)电位,d)水分含量。
图5
图6为不同酶解亚麻籽植物乳粉营养素含量。a)蛋白含量,b)总糖含量,c)总酚含量。
图6
图7为不同酶解亚麻籽乳粉。a)集粉率,b)溶解度。
图7
图8为酶解亚麻籽植物乳粉微观SEM形貌图。
图8
图9为不同酶解亚麻籽乳粉。a)X射线衍射图,b)傅里叶变换红外光谱图,c)热重(TG)图,d)微分热重(DTG)图。
图9
图10为对照组(C)与半纤维素酶(E2)酶解组油脂体界面微观结构AFM图。
图10
具体实施方式
下面将对本发明实施例中的技术方案进行清楚、完整地描述,显然,所描述的实施例仅仅是本发明一部分实施例,而不是全部的实施例。基于本发明中的实施例,本领域普通技术人员在没有做出创造性劳动前提下所获得的所有其他实施例,都属于本发明保护的范围。
在这里专用的词“实施例”,作为“示例性”所说明的任何实施例不必解释为优于或好于其它实施例。本申请实施例中性能指标测试,除非特别说明,采用本领域常规试验方法。应理解,本申请中所述的术语仅仅是为描述特别的实施方式,并非用于限制本申请公开的内容。
除非另有说明,否则本文使用的技术和科学术语具有本申请所属技术领域的普通技术人员通常理解的相同含义;作为本申请中其它未特别注明的试验方法和技术手段均指本领域内普通技术人员通常采用的实验方法和技术手段。
为了更好的说明本申请内容,在下文的具体实施例中给出了众多的具体细节。本领域技术人员应当理解,没有某些具体细节,本申请同样可以实施。在实施例中,对于本领域技术人员熟知的一些方法、手段、仪器、设备等未作详细描述,以便凸显本申请的主旨。
在不冲突的前提下,本申请实施例公开的技术特征可以任意组合,得到的技术方案属于本申请实施例公开的内容。
本发明公开了一种碳水化合物酶介导的无添加亚麻籽乳粉及其制备方法,属于食品生物技术与功能食品加工技术领域。本发明以微波脱毒脱胶亚麻籽,通过酶解实现植物乳中油滴的液体微囊化界面修饰,使用简单、低成本的喷雾干燥实现固体粉末微囊化处理,获得了一种无添加外源热促稳剂、结构稳定、各方面营养素含量较高且具有高复溶性的的亚麻籽乳粉。所述制备方法绿色环保,无需外源性添加剂即可维持产品稳定性,制备得到的亚麻籽长存植物乳粉安全、营养、美味、纯天然、便携,适于推广应用。
为更好地理解本发明,下面通过以下实施例对本发明作进一步具体的阐述,但不可理解为对本发明的限定,对于本领域的技术人员根据上述发明内容所作的一些非本质的改进与调整,也视为落在本发明的保护范围内。
实施例1
首先选取新鲜干净的亚麻籽,用干法脱胶工艺进行脱胶后,将其水分含量调节至13%后放入4℃冰箱中静置8-12h,使其水分得到充分吸收,通过密闭式微波快速萃取系统720W微波处理9min。
将上述微波处理的脱胶亚麻籽,按照1:7的固液比浸泡2h后,胶体磨研磨12min。将研磨所得亚麻籽浆均分,以酶活定义碳水化合物酶添加量为每200U/g籽,蛋白酶酶添加量为80U/g籽,无酶活标识的木聚糖酶XBR、复合蛋白酶均以亚麻籽干基重1.6mg/g籽,添加酶后在50℃恒温水浴条件下酶解反应1h,然后90℃水浴灭酶15min,冷却至室温200目滤袋除渣,得到亚麻籽植物乳。其后将固液分离所得喷雾干燥制得亚麻籽乳粉。
其中,设定酶解亚麻籽原浆所用的酶为(庞博)纤维素酶CTS、(夏盛)半纤维素酶、(夏盛)纤维素酶、(夏盛)纤维素酶(中性)、(夏盛)纤维二糖酶(HL)、(夏盛)葡糖淀粉酶(GAL型)、(夏盛)蛋白酶(酸性)、(夏盛)碱性蛋白酶、(东恒华道)菠萝蛋白酶、(庞博)纤维素酶(3万)、(蔚蓝)木聚糖酶XBR、(蔚蓝)复合蛋白酶,以酶活定义碳水化合物酶添加量为每200U/g籽,蛋白酶酶添加量为80U/g籽,无酶活标识的木聚糖酶XBR、复合蛋白酶均以亚麻籽干基重1.6mg/g籽。
为了进一步证明本发明的有益效果以更好地理解本发明,下面通过以下对比例进一步阐明本发明公开的同步制备得到的碳水化合物酶介导的无添加亚麻籽乳粉及其制备方法具有的性质及应用性能,但不可理解为对本发明的限定,对于本领域的技术人员根据上述发明内容所作的其他测定实验得到的方法性质及根据上述性质进行的应用,也视为落在本发明的保护范围内。
对比例1
以实施例1公开的设定亚麻籽添加酶,以未添加酶的空白按相同处理制备所得乳及乳粉标记为未处理组(C);在此基础上,添加各种酶所得的乳及乳粉标记为酶解组E1一E12。
酶解组相较于未酶解组亚麻籽乳的物理稳定性、营养价值和生物利用度等有所提升,其在乳粉的含水量、营养成分、溶解度等方面的表现酶解组较对照组有明显提高。
对比例2
对实施例1获得的亚麻籽乳的粒径、电位、TSI、蛋白含量、黏度、总糖含量、总酚含量、激光共聚焦显微镜和总固形物含量进行测定,并优选最佳酶解效果组提升物理稳定性及营养素含量。测定所得到亚麻籽植物乳粉的集粉率、粒径、电位、水分含量、溶解度、蛋白含量、总糖含量、总酚含量并用扫描隧道显微镜观察其乳粉微观形貌,确定效果最优的酶解亚麻籽乳粉。
测定方法包括:
(1)粒径、ζ一电位、TSI、黏度测定
利用激光衍射粒度分析仪用于测量亚麻籽植物乳及乳粉的粒径和粒径分布。测试前,将亚麻籽植物乳均匀分散在水中,搅拌速度设置为2000rpm,设置亚麻籽油折射率设为1.479,水的折射率设为1.330。乳粉将其按1:8的水比溶解后以同样方法测定。用纳米粒度电位仪测定亚麻籽植物乳的表面势能(ζ一电位)。测量前,亚麻籽植物乳用水稀释250倍来减少多次散射的影响,在25℃下测量三次。热处理方式为取少量亚麻籽乳加入细玻璃管中,140℃油浴30s后以相同方法测定粒径、ζ一电位。
TSI测量,将20g亚麻籽植物乳转移至配套的玻璃瓶中,使瓶身外部保持干净透光性良好,光源从上到下每隔25s采集一次透射和反向散射数据,共扫描15min,在25℃下测量反射光与透射光的百分比。最后使用软件计算出TSI参数,评估乳液的稳定性。黏度测量取30mL亚麻籽植物乳置于50mL平底离心管中,亚麻籽植物乳的黏度测定使用SNB一1数字黏度计,选用2#转子、设置转速为60rpm。
(2)蛋白、总固形物含量的测定
参考GB5009.5-2016,采用自动凯氏定氮仪法测定亚麻籽植物乳的蛋白质含量。具体操作如下:称取5g亚麻籽植物乳,精确至0.001g(亚麻籽乳粉称取0.1-0.3g),移入干燥的消化管中,加入10mL浓硫酸,1个凯氏定氮片。接着使用石墨消化仪,选用曲线1(固体乳粉样品选用曲线2)模式消化亚麻籽植物乳。消化完成后,通过自动凯氏定氮分析仪进行自动加液、蒸馏、滴定以及数据记录。
其中,M1为对照组的蛋白含量,单位(g/100g);M2为酶解的蛋白含量,单位(g/100g)。
总固形物含量测定,将复合乳样品充分摇晃混合均匀,准确称取10g样品于已知称量恒重的含海砂的称量皿中,在水浴上蒸发至没有明显流体,擦干称量皿上附着的水分,放入恒温烘箱中,在105℃下烘至恒重。总固形物含量提高率参照蛋白含量提高率计算方法,总固形物含量计算公式如下:
其中,M2为总固形物和含海砂称量皿的质量;M1为恒重含海砂称量皿的质量,单位g。
(3)总糖、总酚含量的测定
总糖测定采用试剂盒法,总酚测定,称取0.10g亚麻籽粉于10mL离心管中,加入10mL50%甲醇,于涡旋仪上混合20min后,放置于离心机中离心(4500rpm,20min),之后收集离心后的上清液,保存在4℃避光的条件下。吸取0.5mL样品提取液(0.5mL10%甲醇作空白)于10mL比色管中,加入5ml超纯水和0.5mL福林酚,摇匀、反应3min后加入1mL饱和碳酸钠溶液(加到出现沉淀),以超纯水定容至10mL,摇匀,避光放置1h。使用酶标仪于765nm处测定其吸光值。结果以mg没食子酸/g表示。标准曲线回归方程:Y=4.65336x+0.05468,R2=0.99911。
(4)CLSM观察
利用CLSM来观察亚麻籽植物乳的油滴和蛋白的分布情况。200μL亚麻籽植物乳与40μL快绿(1mg/mL,溶剂为乙醇)预染蛋白4h,再加入5μL尼罗红(1mg/mL,溶剂为乙醇)对油滴染色,最后使用200μL超纯水稀释,显微结构采用60倍的油镜进行观察,尼罗红和快绿分别在488nm和613nm处激发。
(5)集粉率、水分含量、溶解度测定方法
集粉率测定公式:集粉率(%)=(实际收集到的乳粉质量/料液中总固形物质量)×100%;水分含量使用水分测定仪进行测定;溶解度的处理方法如下:称取约5g植物乳粉样品(精确至0.01g)于50mL烧杯中,用38mL25-30℃的水分数次将乳粉全部冲洗至50mL离心管中,加塞。将离心管置于30℃水浴中保温5分钟,取出,手动振摇3分钟,将离心管放入离心机,以适当转速(如1000r/min)离心10分钟,使不溶物充分沉淀。离心后倾去上清液,并用棉栓或滤纸擦净管壁,向离心管中再次加入25-30℃的水38mL,加塞,上下振荡使沉淀悬浮。再次离心10分钟,倾去上清液,并用棉栓仔细擦净管壁,用少量水将沉淀物全部冲洗至已恒重的称量皿(m1)中。先将称量皿置于沸水浴上蒸干,再移入100℃的干燥箱中干燥至恒重(直至连续两次称量质量差不超过2mg)。取出后置于干燥器中冷却至室温,称量总质量(m2)。
其中,m:样品质量(g),m1:称量皿质量(g);m2:称量皿和不溶物干燥后质量(g);B:样品水分含量(g/100g)。
(6)SEM观察
扫描电子显微镜观察了其微胶囊形貌(TESCAN MIRA LMS,TESCAN公司,捷克)。将少量干燥的乳粉微胶囊用双面胶带撒在样品台上,然后放入离子溅射仪中,并且在10mA电流的条件下进行金喷涂。然后在SEM下放大不同倍数观察其形貌。
(7)傅里叶红外变换光谱
不同乳粉通过红外光谱法使用傅里叶变换红外光谱仪(Thermo Fisher Scient Nicolet is20,USA)进行分析,设置波数范围为4000~400cm-1。
(8)X-射线衍射测定
用X射线多晶衍射法测定了干燥的亚麻籽乳粉微胶囊(Ultima IV,Riga ku Corporation,日本)在以下条件下进行:在室温下,铜靶(Cu)和Kα射线(λ=0.154nm)的扫描条件下,管电压为40kV,管电流为40mA,扫描范围为常规(10°-80°),扫描速率为2°/min。
(9)热重分析
使用同步热分析仪进行热重分析(TA Discovery TGA550,USA)使用氮气作为保护气体以控制氮气流速为30mL/min,以10℃/min的升温速率从30℃升至600℃。绘制了样品的热力学曲线。将所得数据的一阶导数用于微分热重法(DTG)曲线。
(10)原子力显微镜AFM
将相同浓度的每个样品放置在新切割的云母片上,室温干燥12小时。使用力常数为5N/m、共振频率为160kHz的标准峰力模式硅悬臂梁来检测图像。
结果与分析:
对亚麻籽乳的酶添加量为酶活定义碳水化合物酶添加量为每200U/g籽,蛋白酶酶添加量为80U/g籽,无酶活标识的木聚糖酶XBR、复合蛋白酶均以亚麻籽干基重1.6mg/g籽。首先对东恒华道、夏盛、新华扬、庞博生物、蔚蓝、DSM和源叶共计104种酶进行亚麻籽植物乳初筛,通过基础风味口感选出十二种酶为(庞博)纤维素酶CTS、(夏盛)半纤维素酶、(夏盛)纤维素酶1、(夏盛)纤维素酶(中性)、(夏盛)纤维二糖酶(HL)、(夏盛)葡糖淀粉酶(GAL型)、(夏盛)蛋白酶(酸性)、(夏盛)碱性蛋白酶、(东恒华道)菠萝蛋白酶、(庞博)纤维素酶2(3万)、(蔚蓝)木聚糖酶XBR、(蔚蓝)复合蛋白酶。
表1 未酶解及不同酶酶解植物乳(粉)对应简称
(1)不同酶解对植物乳的物理(热)稳定性的影响及乳的指标
由图1所示,TSI可用于快速评估分散体系的稳定性,TSI值越大,植物乳的稳定性越低。如a图中所示,碱性蛋白酶酶解制备的亚麻籽植物乳的TSI的最大,这表明碱性蛋白酶的添加不利于亚麻籽植物乳的动力学稳定性。此外,纤维素酶1制备的亚麻籽植物乳表现出最低的TSI,表明该酶提高了亚麻籽植物乳的稳定性,但是纤维素酶1酶解制备的亚麻籽乳在粒径、黏度、营养素含量等其他方面表现不佳,与对照组相比,纤维素酶CTS、半纤维素酶、纤维素酶(中性)酶解后亚麻籽植物乳的稳定性居中。从b图中黏度可以看出酶解对亚麻籽乳黏度降低效果并不显著,其中木聚糖酶XBR和纤维素酶2效果相对较好。其黏度降低效果不显著可能是酶解对流体连续相中的大分子链(如多糖)的分子量降低效应有限,水解程度较低,但也避免了因过度水解导致黏度骤降而失去空间位阻稳定效应。另一方面也可能与原料籽的脱胶预处理程度有关,使得酶的作用底物和最终产物得以控制。酶解后,所有样品的粒径均增大,可能是酶水解过程对亚麻籽中蛋白质或多糖网络的精准剪切与修饰,暴露了更多疏水基团或促进了可溶性组分的交联,形成了结构更为致密、尺寸稍大的复合物颗粒,且与水解底物的程度有关。酶解后的植物乳ζ一电位的绝对值都升高,酶解后亚麻籽植物乳的分子排斥力增加。表明酶解对亚麻籽乳的稳定有促进作用。纤维素酶CTS、半纤维素酶在ζ一电位和粒径上表现较为稳定,且两种酶热处理后的粒径和电位变化较小,表现较为均衡的稳定性。
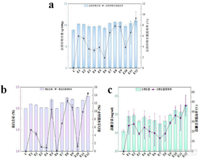
(2)不同酶解对植物乳营养素含量的影响
从图2中可以看出,亚麻籽乳中的总固形物含量、蛋白质含量和总糖含量在酶解后均有所提升。复合蛋白酶、纤维素酶CTS、半纤维素酶、酸性蛋白酶、碱性蛋白酶、菠萝蛋白酶和木聚糖酶XBR在总固形物含量上均表现出较大的提升;另外,纤维二糖酶、纤维素酶CTS及半纤维素酶在蛋白质含量提高的效果上与蛋白酶效果接近。纤维素酶能高效水解这些由纤维素、半纤维素和果胶构成细胞壁组分,使其变得疏松、破裂,从而释放营养物质,这是提升所有营养素得率的关键。在总糖提升的效果上,酸性蛋白酶的效果最差,纤维素酶CTS、半纤维素酶、纤维素酶2和木聚糖酶XBR的酶解亚麻籽乳总糖含量略低于复合蛋白酶,但也表现出优异效果。综合得出复合蛋白酶、纤维素酶CTS和半纤维素酶在亚麻籽乳营养素含量提高方面具有一定优势。
(3)不同酶解对植物乳微观结构的影响
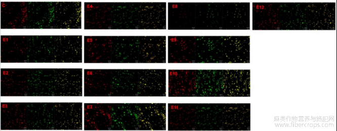
如图3所示,CLSM观察到未经酶处理的亚麻籽植物乳中的液滴倾向于形成聚集体。添加酶酶解后,部分酶解组表现出液滴分散更加均匀,且微粒变大与粒径变化相对应。图像显示绿色为蛋白质分子,可以观察到明亮的绿色与脂质所表现出的红色大致重合且,蛋白质之间的相互作用可能进一步促进油滴聚集,进而导致乳液产生不稳定现象。在亚麻籽乳体系中,碳水化合物酶(纤维素酶CTS、半纤维素酶等)酶解处理能有效破坏亚麻籽乳原有的不稳定宏观结构,通过促进蛋白质和脂质的微观交互作用,形成大量细小、均匀且稳定的蛋白-脂质复合体,且无蛋白酶带来的蛋白聚集。这种“先破除障碍”的作用机制,能让蛋白和脂质在微观层面充分接触,自然形成大量细小均匀的蛋白-脂质复合体;而蛋白酶仅能水解蛋白生成肽段,无法消除碳水化合物的空间阻隔,即便蛋白乳化活性提升,也难以与脂质有效结合,界面膜仍会因碳水缠绕而松散。这种微观结构的重组是导致其宏观稳定性得以根本性提升的关键机制。
(4)亚麻籽植物乳及乳粉的绿色制备过程
如图4所示,将干法脱胶后的亚麻籽以(w:w=1:7)的料液比加水,浸泡2h后进入胶体磨进行研磨12min,后将研磨所得的亚麻籽浆均分后按之前所述酶添加量加酶后在水浴锅中50℃恒温条件下进行酶解1h,后在90℃条件下灭酶15min,经200目筛网过滤的初步亚麻籽乳。将所得亚麻籽乳绿色无添加直接由喷雾干燥机由泵输送,进口温度130-180℃,出口温度90-100℃喷雾干燥收集得到亚麻籽乳粉。
(5)不同酶解亚麻籽植物乳粉的物理稳定性及水分含量
如图5所示,酶解乳粉的粒径较乳的粒径变化趋势与乳有差异,a和b中酶E3纤维素酶1的粒径最小,E1纤维素酶CTS、E2半纤维素酶也有较好的表现,c图中E2的ζ-电位绝对值很高与较小的粒径相对应,稳定性比较好。d图中表面水分含量酶解后亚麻籽乳粉均低于未酶解组,均在4%左右,是较为稳定的状态,其中E1纤维素酶CTS水分含量最低。
(6)不同酶解亚麻籽植物乳粉营养素含量
如图6中a所示,酶解后的乳粉相比对照组蛋白含量更高,其中E1纤维素酶CTS、E8碱性蛋白酶和E12复合蛋白酶三种酶酶解后的亚麻籽乳粉蛋白含量相对较高。总糖含量与总酚含量趋势相同,均表现为酶解后组营养素含量提高,E1纤维素酶CTS、E2半纤维素酶有非常均衡和突出的表现,对营养素含量的提升较大。
(7)不同酶解植物乳集粉率、溶解度
如图7中所示,绿色亚麻籽乳粉纯绿色无添加任何外源热促稳剂,集粉率在30%左右,部分酶解后亚麻籽乳粉得率低于未酶解对照组;而b中可以观察到酶解后的亚麻籽乳粉溶解度均有提升,其中E1纤维素酶CTS和E2半纤维素酶溶解度改善尤为明显,接近80%,且所有亚麻籽乳粉溶解度均在60%以上,展现出较好的溶解性。碳水化合物酶降解产生的短链多糖片段可协同蛋白构建稳定界面,进一步提升乳粉再溶解时的分散性,而蛋白酶仅能改性蛋白,无法消除碳水屏障,难以实现集粉率与溶解度的同步优化。综合前面所述的亚麻籽乳和乳粉物理稳定性、营养素含量及微观结构,半纤维素酶具有均衡且优异的表现。
(8)不同酶解亚麻籽乳粉的微观形貌
图8的扫描电子显微镜(SEM)表征可观察到,乳粉存在吸潮结块的现象,该现象可能与亚麻籽固有成分特性、工艺适配性不足及储存环境条件密切有关。亚麻籽乳粉中高含量ω-3不饱和脂肪酸(35-50%)易发生氧化反应,生成醛酮类极性物质,导致乳粉颗粒表面黏性显著增加;同时,脂质氧化过程伴随的放热效应会加速颗粒对环境中水分的吸附,为结块提供热力学条件。乳粉中含强亲水性的亚麻籽胶,吸湿后黏度升高,在高湿度环境下易发生不可逆凝胶化转变,而木酚素等小分子强亲水性酚类物质吸湿后溶解,在颗粒间形成液桥粘结,进一步促进颗粒间的粘结聚集。该现象也可能与蛋白质在干燥温度过高时发生变性和储存期间脂肪迁移到颗粒表面有关,会显著降低粉体的流动性,最终加剧乳粉的结块倾向。
乳粉在不同倍数条件下可以看出呈现球形或近似的不规则球形,但其表面并不光滑有凹陷、褶皱或一定破损,主要与喷雾干燥过程的物理机制和物料本身的特性有关,壁材外壳在干燥应力作用下的物理形变,快速表面成膜与内部收缩/蒸汽产生的应力导致,并受壁材性质、芯材行为及工艺参数影响,可能影响粉末的流动性、溶解性、储存稳定性或芯材释放行为。从图8中可以看出碳水化合物酶酶解后喷雾干燥的包埋效果较好一点,E2半纤维素酶包埋较为均匀且形貌较圆滑。
(9)酶解对亚麻籽乳的界面调控及热稳定性
X射线衍射通常用于评估颗粒的晶粒度和晶胞尺寸。从图9(a)中观察到,所有样品在2θ≈19.7°出现特征峰,是亚麻籽乳粉中无定形成分(如蛋白无规聚集、多糖无定形区 )及少量弱结晶相(如纤维素微小结晶区)共同作用的结果,体现了天然亚麻籽乳干燥粉中“结晶-无定形”混合的结构状态。样品结果相似,有着半结晶性质。晶体结构对应一系列陡峭和尖锐的峰,而无定形态对应的峰形较宽,衍射角2θ(19.74°),与对照组相比,酶解组的特征峰略有偏移(E2,19.94°),酶解组具有相对较低的强度,且峰形较宽,表明在酶处理后部分结晶态结构转变为无定型态。半纤维素酶可以在一定程度上提高无定型态的比例。
傅里叶变换红外光谱用于评估乳粉的分子相互作用。图9(b)中观察到1000~1300cm-1和3600~3000cm-1附近的条带,1000~1300cm-1处的谱带代表C-O-C,C–O伸缩振动,可归因于中性糖的吡喃糖环中存在,包括纤维素和半纤维素中的阿拉伯糖、木糖和半乳糖,体现多糖链构象。与对照组相比,酶解后峰值的波数有移动,表明分子内和分子间的相互作用发生改变,也可能是由于多糖的聚合度和结晶/无定形比例有关。3600~3000cm-1的波长范围代表了由纤维素分子间、分子内以及水和纤维素分子间和分子内形成的氢键引起的羟基拉伸振动。酶解破坏蛋白/多糖分子结构,使包埋的O-H、N-H暴露,与其他分子形成新氢键,导致该区间峰形分裂、强度变化。如E1、E2等碳水化合物酶作用于多糖,使多糖链断裂,氢键密度降低,峰强减弱。因此,酶解通过破坏蛋白、多糖等成分结构,重构分子间氢键网络,改变二级结构与官能团微环境。
热重分析用于评估酶解与未酶解亚麻籽植物乳粉热稳定性和热降解特性,微分热重曲线可以更好地可视化相应材料的热转变。从图9(c)、图9(d)中可以看出,酶解植物乳粉与对照组的热重分析曲线趋势大致相似,分为三个热降解阶段。初始阶段(30~200℃)的失重率较低,这主要归因于水分蒸发,一些挥发性物质及小分子的减少,表明微胶囊颗粒在壁材中不仅含有自由水,还含有少量的结合水。第二阶段(200~480℃)重量损失最大,TG曲线呈现急剧下降的趋势,DTG曲线也表现同样的趋势,这主要是因为大多数壁材开始分解,对应糖环的降解以及聚合物链的分解。在最后阶段(480~600℃),主要是由于亚麻籽乳粉的快速损失和热分解的完成。在600℃时,所有样品热损失率均在87%左右。超过200℃的高温会使壁材分解,因此加工和储存温度不宜过高。与E1、E4、E10等相比,其他酶尤其E2酶解乳粉的热降解温度从390~395℃提升至400℃,表明半纤维素酶提高了乳粉的热特性,可能归因于半纤维素酶促进了小分子多糖在乳粉界面处的吸附。
(10)对照组与半纤维素酶酶解组乳粉界面微观结构
采用原子力显微镜(AFM)表征未酶解对照组乳粉与半纤维素酶酶解后乳粉的界面形貌特征结果见表2和图10。未酶解对照组乳粉的Ra为1.89、Rq为2.80、Rmax为42.1;经半纤维素酶解后,乳粉的Ra降至1.26、Rq降至1.98、Rmax降至30.45。这一结果表明,半纤维素酶解处理可显著降低乳粉界面的平均高度波动及整体峰谷起伏程度,提升界面形貌的整体均匀性;而Rmax的标准差显著增大,提示酶解后乳粉界面局部峰谷结构的个体差异增强,这与半纤维素酶对亚麻籽中半纤维素组分的降解有关——相关组分的变化改变了乳粉界面的吸附物质分布,导致局部结构的异质性提升。未酶解对照组乳粉的Skewness为3.23,呈现强正偏特征,表明界面“峰结构”在形貌中的占比显著较高;半纤维素酶解后,Skewness降至2.41,正偏程度明显减弱。这一变化的机制在于,亚麻籽中的半纤维素组分经酶解后,与界面结合的多糖类物质组成或构象发生改变,削弱了界面突出峰结构的形成能力,使界面轮廓的不对称性降低、更趋均匀。因此,半纤维素酶对亚麻籽乳的酶解处理,通过降解亚麻籽中的半纤维素组分,间接调控了乳粉界面的吸附物质组成与构象,最终引发乳粉界面形貌的定向变化。即宏观上界面整体粗糙程度降低、均匀性与对称性提升;微观上峰结构占比减少、峰值尖锐度略有减弱且局部结构异质性增强。此类界面形貌的调控效应,对乳粉的界面稳定性及复配植物乳体系的理化特性产生关键影响。
表2 对照组与半纤维素酶酶解微囊颗粒界面粗糙度参数

对所公开的实施例的上述说明,使本领域专业技术人员能够实现或使用本发明。对这些实施例的多种修改对本领域的专业技术人员来说将是显而易见的,本文中所定义的一般原理可以在不脱离本发明的精神或范围的情况下,在其它实施例中实现。因此,本发明将不会被限制于本文所示的这些实施例,而是要符合与本文所公开的原理和新颖特点相一致的最宽的范围。
文章摘自国家发明专利,一种碳水化合物酶介导的无添加亚麻籽乳粉及其制备方法,发明人:陈亚淑,邓乾春,罗怀述等,申请号:202610150488.9,申请日:2026.02.03


















