摘要:本发明公开了一种大麻二酚及其衍生物的制备方法,属于有机合成技术领域。以烯丙醇化合物和间二苯酚化合物作为原料,在三氟化硼乙醚/有机酸镁的作用下,发生Friedel-Crafts反应,高选择性生成大麻二酚及其衍生物同时抑制产物的进一步环化,避免产生副产物大麻酚。该反应具有较高化学选择性和良好收率,反应条件温和,操作简单,污染少。同时本工艺可产生新的CBD衍生物,用于提供原型分子的活性研究。
权利说明书
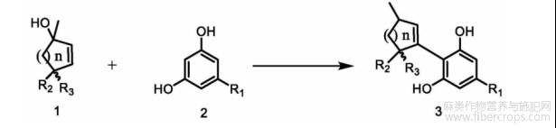
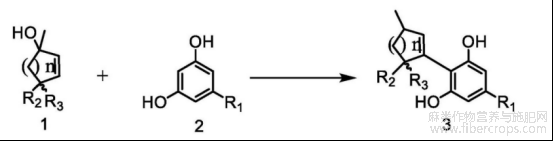
1. 一种大麻二酚及其衍生物的制备方法,其特征在于,包括如下步骤:烯丙醇化合物1与二羟基苯化合物2,在有机酸镁或钙基催化剂和酸存在下,有机溶剂中反应,得到大麻二酚及其衍生物3;反应方程式表示如下:
其中:R1选自卤素、烷基、三元环、五元环、六元环或苯环;R2,R3选自氢、异丙烯基或烷基;n=1,2,3。
2.根据权利要求1所述大麻二酚及其衍生物的制备方法,其特征在于:所述酸选自BF3-Et2O、ZnCl2、p-TsOH、Sc(OTf)3、In(OTf)3、InBr3、SnCl4、H2SO4或AlCl3。
3.根据权利要求1所述大麻二酚及其衍生物的制备方法,其特征在于:所述镁或钙基催化剂选自海藻酸钙、硬脂酸钙、乙二胺四乙酸二钠钙、丙酮酸钙、乙酰丙酸钙、苹果酸二羟合钙、醋酸镁、丁二酸镁、硬脂酸镁或柠檬酸镁。
4.根据权利要求1所述大麻二酚及其衍生物的制备方法,其特征在于:所述有机溶剂选自二氯甲烷、氯仿、四氢呋喃、甲苯、乙酸乙酯。
5.根据权利要求1所述大麻二酚及其衍生物的制备方法,其特征在于:反应温度为0-40℃。
6.根据权利要求5所述大麻二酚及其衍生物的制备方法,其特征在于:反应温度为25℃。
7.根据权利要求1-6任意一项所述大麻二酚及其衍生物的制备方法,其特征在于:反应在惰性气体保护下进行。
技术领域
本发明涉及到一种大麻二酚及其衍生物的制备方法,属于有机合成技术领域。
背景技术
大麻二酚(Cannabidiol,CBD)是一种大麻植物中主要的非精神活性成分,与四氢大麻酚(Tetrahydrocannabinol,THC)不同,其不具有精神依赖性。CBD具有多种药理作用,包括抗焦虑、抗精神病、止吐和抗炎特性。CBD还可通过多个途径抵抗肿瘤细胞的侵袭,有效延长患者生命。虽然大麻二酚对大麻素的CB1和CB2受体的亲和力很低,但是有效GPR55拮抗剂。全球范围内,以CBD为核心的药物研发已取得显著进展,其中最具代表性是由GWPharmaceuticals开发Epidiolex®该药物于2018年通过美国FDA批准,成为首个基于植物来源的CBD药物,用于治疗Lennox-Gastaut综合征(LGS)、Dravet综合征及结节性硬化症(TSC)相关难治性癫痫。除Epidiolex®外,其他CBD类药物如Sativex®(含CBD与四氢大麻酚的黏膜喷雾剂)已在欧洲获批用于多发性硬化相关的神经性疼痛和痉挛治疗,进一步拓展了CBD临床应用范围。CBD正在成为更具吸引力的治疗选择。因此,探索合成CBD合成是非常必要的。
在大麻二酚的制备过程中,目前主要采用植物萃取、生物提取和化学合成等方法。植物萃取法由于大麻素类物质在结构、物理和化学性质上高度相似,导致分离纯化难度较大,且容易引入植物从环境中吸收的重金属和多种毒素等有害杂质,难以达到药品级纯度要求。生物提取法虽然相对环保,但其操作流程复杂,规模化生产能力有限,在一定程度上制约了产品的市场推广与应用。而现有的化学合成方法则存在产率低、选择性不佳的问题,合成过程中常伴随产生四氢大麻酚等具有成瘾性的杂质,进一步增加了后续纯化的难度。
化学合成大麻二酚(CBD)的许多合成路线已被开发出来。最初由Petrzilka等人报道:以(1S,4R)-1-甲基-4-(1-甲基乙烯基)-2-环己烯-1-醇和橄榄醇作为原料,草酸二水合物作为催化剂,苯作为溶剂,加热条件下以23.5%产率得到大麻二酚,异大麻二酚产率为34.5%。反应方程式表示如下:
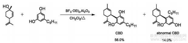
Baek等人报道:以(1S,4R)-1-甲基-4-(1-甲基乙烯基)-2-环己烯-1-醇和橄榄醇作为原料,三氟化硼乙醚作为催化剂,氧化铝作为载体,二氯甲烷作为溶剂,加热条件下以56%产率得到大麻二酚,异大麻二酚产率为14%。反应方程式表示如下:
以上反应中,其中在酸性条件下,CBD酚基会继续与异丙烯基发生加成反应,形成四氢大麻酚(THC)骨架结构。而四氢大麻酚(THC)具有精神依赖性。而同时在酸性条件下,反式大麻酚能够在酸性条件下通过反向Friedel-Crafts反应进行重组从而得到CBD。反应方程式和反应机理表示如下:
发明内容
为了克服上述缺陷,本发明设计了一种镁/钙基催化剂介导Friedel-Crafts反应。在催化剂钝化的酸性环境中,丙烯醇类化合物率先转化为对应的碳正离子活性中间体,进而有效的引发相应的橄榄醇分子发生亲电芳香取代进程。通过镁/钙催化剂对橄榄醇的结合,该转化反应表现出优异的立体选择性,橄榄醇仅以反式构型进攻异丙烯基的对应位点。加入镁基催化剂能够有效促进双羟基之间的芳香位点以反式构型进攻异丙烯基的对应位点。并能够抑制CBD进一步在酸性条件下关环得到有精神依赖性的四氢大麻酚(THC)骨架结构。该方法被用于大麻二酚及其衍生物的合成。
本发明所述一种大麻二酚及其衍生物的制备方法,反应原理为:在三氟化硼乙醚等作用下生成碳正离子活性中间体,在丁二酸镁的作用下促进双羟基之间的芳香位点以反式构型进攻异丙烯基的对应位点,并抑制CBD进一步在酸性条件下关环得到有精神依赖性的四氢大麻酚(THC)骨架结构。采用的技术方案,反应方程式表示如下:
包括如下步骤:烯丙醇化合物1与二羟基苯化合物2,在镁或钙基催化剂和酸存在下,有机溶剂中反应,得到大麻二酚及其衍生物3。
其中:R1选自卤素、烷基、三元环、五元环、六元环或苯环;R2,R3选自氢、异丙烯基或烷基;n=1,2,3。
进一步地,在上述技术方案中,所述酸选自BF3-Et2O、ZnCl2、p-TsOH、Sc(OTf)3、In(OTf)3、InBr3、SnCl4、H2SO4或AlCl3。
进一步地,在上述技术方案中,所述镁或钙基催化剂选自海藻酸钙、硬脂酸钙、乙二胺四乙酸二钠钙、丙酮酸钙、乙酰丙酸钙、苹果酸二羟合钙、醋酸镁、丁二酸镁、硬脂酸镁或柠檬酸镁。
进一步地,在上述技术方案中,所述有机溶剂选自二氯甲烷、氯仿、四氢呋喃、甲苯、乙酸乙酯等。
进一步地,在上述技术方案中,反应温度为0-40℃,优选为25℃。
进一步地,在上述技术方案中,反应在惰性气体保护下进行。
发明有益效果:
本发明利用镁/钙基催化剂提高了Friedel-Crafts反应选择性,以及抑制CBD在酸性条件下进一步与异丙烯基发生加成反应,形成具有精神依赖性的四氢大麻酚(THC)骨架结构。能够有效提高通过Friedel-Crafts反应合成大麻二酚及其衍生物的产率。
本发明具有合成工艺简便,条件温和,易于操作,可显著提高合成产率,环境污染小,绿色环保等优点。
具体实施方式
为了更清楚地说明本发明,下面结合优选实施例对本发明做进一步的说明。本领域技术人员应当理解,下面所具体描述的内容是说明性的而非限制性的,不应以此限制本发明的保护范围。
条件优化实验
1、反应酸条件筛选:
氩气保护下,在带有磁子的干燥反应管中,加入环己烯醇A1(30mg,0.2mmol)并溶于二氯甲烷(2mL)中,随后加入酸催化剂(0.3当量)。混合均匀后,通过注射器缓慢滴加橄榄醇S1(36mg,0.2mmol)的二氯甲烷溶液(0.5mL)。反应体系在室温下继续搅拌20分钟。反应结束,加水淬灭反应,二氯甲烷(3×2.0mL)萃取。合并有机相,饱和食盐水洗涤,无水硫酸钠干燥。过滤并浓缩滤液,得粗产物。最后经柱层析纯化(石油醚/乙酸乙酯=10:1,v/v),获得目标产物大麻二酚。筛选结果如下:
采用各种酸源,分别采用三氟化硼乙醚、氯化锌、对甲苯磺酸、三氟甲磺酸钪、三氟甲磺酸铟、三溴化铟、四氯化锡、硫酸、三氯化铝。其中:三氟化硼乙醚收率较好,产率达到54%。
2、镁/钙基催化剂筛选:
氩气保护下,在带有磁子的干燥反应管中,加入环己烯醇A1(30mg,0.2mmol)并溶于二氯甲烷(2mL)中,依次加入镁基或钙基催化剂(5.0当量)和三氟化硼乙醚(28mg,0.2mmol)。混合均匀后,通过注射器缓慢滴加橄榄醇S1(36mg,0.2mmol)的二氯甲烷溶液(0.5mL)。反应体系在室温下继续搅拌20分钟。反应结束,加水淬灭反应,二氯甲烷(3×2.0mL)萃取。合并有机相,饱和食盐水洗涤,无水硫酸钠干燥。过滤并浓缩滤液,得粗产物。最后经柱层析纯化(石油醚/乙酸乙酯=10:1,v/v),获得目标产物大麻二酚。筛选结果如下:
采用各种镁/钙基催化剂,分别使用丁二酸钙、乙酸钙、丙酸钙、海藻酸钙、硬脂酸钙、乙二胺四乙酸二钠钙、丙酮酸钙、乙酰丙酸钙、苹果酸二羟合钙、丁二酸镁、硬脂酸镁、柠檬酸镁、醋酸镁。其中:丁二酸镁收率较好,产率达到60%。
3、反应酸当量的筛选:
氩气保护下,在带有磁子的干燥反应管中,加入环己烯醇A1(30mg,0.2mmol)并溶于二氯甲烷(2mL)中,依次加入丁二酸镁(144mg,1.0mmol)和三氟化硼乙醚(对应当量)。混合均匀后,通过注射器缓慢滴加橄榄醇S1(36mg,0.2mmol)的二氯甲烷溶液(0.5mL)。反应体系在室温下继续搅拌20分钟。反应结束,加水淬灭反应,二氯甲烷(3×2.0mL)萃取。合并有机相,饱和食盐水洗涤,无水硫酸钠干燥。过滤并浓缩滤液,得粗产物。最后经柱层析纯化(石油醚/乙酸乙酯=10:1,v/v),获得目标产物大麻二酚。筛选结果如下:
采用不同当量的反应酸参与上述反应,分别采用0.3当量三氟化硼乙醚、0.6当量三氟化硼乙醚、1.0当量三氟化硼乙醚、1.5当量三氟化硼乙醚、2.0当量三氟化硼乙醚。其中:1.0当量三氟化硼乙醚收率较好,产率达到60%。
4、反应时间的筛选:
氩气保护下,在带有磁子的干燥反应管中,加入环己烯醇A1(30mg,0.2mmol)并溶于二氯甲烷(2mL)中,依次加入丁二酸镁(144mg,1.0mmol)和三氟化硼乙醚(28mg,0.2mmol)。混合均匀后,通过注射器缓慢滴加橄榄醇S1(36mg,0.2mmol)的二氯甲烷溶液(0.5mL)。反应体系在室温下继续搅拌对应时间。反应结束,加水淬灭反应,二氯甲烷(3×2.0mL)萃取。合并有机相,饱和食盐水洗涤,无水硫酸钠干燥。过滤并浓缩滤液,得粗产物。最后经柱层析纯化(石油醚/乙酸乙酯=10:1,v/v),获得目标产物大麻二酚。筛选结果如下:
采用不同反应时间的参与上述反应,分别使用0.2h,4h,8h,12h的反应时间。其中:8h反应时间较好,产率到65%。
5、镁/钙基催化剂当量的筛选:
氩气保护下,在带有磁子的干燥反应管中,加入环己烯醇A1(30mg,0.2mmol)并溶于二氯甲烷(2mL)中,依次加入丁二酸镁(对应当量)和三氟化硼乙醚。混合均匀后,通过注射器缓慢滴加橄榄醇S1(36mg,0.2mmol)的二氯甲烷溶液(0.5mL)。反应体系在室温下继续搅拌8小时。反应结束,加水淬灭反应,二氯甲烷(3×2.0mL)萃取。合并有机相,饱和食盐水洗涤,无水硫酸钠干燥。过滤并浓缩滤液,得粗产物。最后经柱层析纯化(石油醚/乙酸乙酯=10:1,v/v),获得目标产物大麻二酚。筛选结果如下:
采用不同当量的镁/钙基催化剂参与上述反应,分别使用1.0当量丁二酸镁、2.0当量、3.0当量丁二酸镁、4.0当量丁二酸镁、5.0当量丁二酸镁、6.0当量丁二酸镁。其中:5.0当量丁二酸镁收率较好,产率到65%。
6、反应温度的筛选:
氩气保护下,在带有磁子的干燥反应管中,在对应温度下,加入环己烯醇A1(30mg,0.2mmol)并溶于二氯甲烷(2mL)中,依次加入丁二酸镁(144mg,1.0mmol)和三氟化硼乙醚(28mg,0.2mmol)。混合均匀后,通过注射器缓慢滴加橄榄醇S1(36mg,0.2mmol)的二氯甲烷溶液(0.5mL)。反应体系在对应温度下继续搅拌8小时。反应结束,加水淬灭反应,二氯甲烷(3×2.0mL)萃取。合并有机相,饱和食盐水洗涤,无水硫酸钠干燥。过滤并浓缩滤液,得粗产物。最后经柱层析纯化(石油醚/乙酸乙酯=10:1,v/v),获得目标产物大麻二酚。筛选结果如下:
采用不同反应温度参与上述反应,分别采用0℃、25℃、40℃反应温度。其中:25℃收率较好,产率到65%。
实施例1
反应在配有搅拌棒的烘干5mL反应瓶中进行。在氩气气氛下,先加入A1(30mg,0.2mmol)并用2mL二氯甲烷溶解,依次加入丁二酸镁(144mg,1.0mmol)和三氟化硼乙醚(28mg,0.2mmol),混合均匀后,用注射器缓慢加入S1(36mg,0.2mmol)的二氯甲烷溶液(0.5ml),在室温下搅拌8小时。反应结束,加水淬灭反应,二氯甲烷(3×2.0mL)萃取。合并有机相,饱和食盐水洗,无水硫酸钠干燥。过滤并浓缩滤液,得粗产物。最后经柱层析纯化(石油醚/乙酸乙酯=10:1,v/v),得到产物1,淡黄色油状物(40.9mg,产率65%)。1H NMR(400MHz,CDCl3):6.35–5.85(m,3H),5.57(s,1H),4.77–4.61(m,2H),4.56(s,1H),3.90–3.78(m,1H),2.48–2.35(m,3H),2.30–2.17(m,1H),2.14–2.04(m,1H),1.87–1.71(m,5H),1.66(s,3H),1.56(dt,J=15.0,7.6Hz,2H),1.37–1.22(m,4H),0.88(t,J=7.0Hz,3H)ppm.13CNMR(101MHz,CDCl3):149.5,143.2,140.2,124.3,113.9,111.0,46.3,37.4,35.6,31.6,30.8,30.5,28.5,23.8,22.7,20.6,14.2ppm.HRMS(m/z):[M–H]–calcdforC21H29O2–313.2173,found 313.2176.
实施例2
反应在配有搅拌棒的烘干5mL反应瓶中进行。在氩气气氛下,先加入A1(30mg,0.2mmol)并用2mL二氯甲烷溶解,依次加入丁二酸镁(144mg,1.0mmol)和三氟化硼乙醚(28mg,0.2mmol),混合均匀后,用注射器缓慢加入S2(38mg,0.2mmol)的二氯甲烷溶液(0.5ml),在室温下搅拌8小时。反应结束,加水淬灭反应,二氯甲烷(3×2.0mL)萃取。合并有机相,饱和食盐水洗涤,无水硫酸钠干燥。过滤并浓缩滤液,得粗产物。最后经柱层析纯化(石油醚/乙酸乙酯=10:1,v/v),得到产物2,无色油状物(16.5mg,产率26%)。1H NMR(400MHz,CDCl3):6.49(d,J=47.0Hz,2H),5.45(s,1H),4.62–4.56(m,1H),4.46(s,1H),3.85–3.71(m,1H),2.36–2.25(m,1H),2.23–2.10(m,1H),2.10–1.96(m,1H),1.82–1.65(m,5H),1.59(s,3H)ppm.13C NMR(101MHz,CDCl3):148.7,140.9,123.2,120.0,115.9,111.3,77.3,46.0,37.0,30.4,28.3,23.7,20.2ppm.HRMS(m/z):[M–H]–calcdforC21H29O2–313.2173,found 313.2176.
实施例3
反应在配有搅拌棒的烘干5mL反应瓶中进行。在氩气气氛下,先加入A1(30mg,0.2mmol)并用2mL二氯甲烷溶解,依次加入丁二酸镁(144mg,1.0mmol)和三氟化硼乙醚(28mg,0.2mmol),混合均匀后,用注射器缓慢加入S3(38mg,0.2mmol)的二氯甲烷溶液(0.5ml),在室温下搅拌8小时。反应结束,加水淬灭反应,二氯甲烷(3×2.0mL)萃取。合并有机相,饱和食盐水洗涤,无水硫酸钠干燥。过滤并浓缩滤液,得粗产物。最后经柱层析纯化(石油醚/乙酸乙酯=10:1,v/v),得到产物3,淡黄色油状物(45.7mg,产率70%)。1H NMR(400MHz,CDCl3):6.39–5.80(m,2H),5.57(s,1H),4.67(s,1H),4.57(s,1H),3.90–3.77(m,1H),2.47–2.15(m,3H),2.14–2.02(m,1H),1.88–1.75(m,9H),1.74–1.67(m,1H),1.65(s,3H),1.43–1.12(m,5H)ppm.13C NMR(101MHz,CDCl3):149.5,148.3,140.1,124.1,113.9,110.8,46.1,44.1,37.4,34.2,34.1,30.4,28.4,26.9,26.2,23.7,20.7ppm.HRMS(m/z):[M–H]–calcdforC19H23O2–325.2173,found 325.2165.
实施例4
反应在配有搅拌棒的烘干5mL反应瓶中进行。在氩气气氛下,先加入A1(30mg,0.2mmol)并用2mL二氯甲烷溶解,依次加入丁二酸镁(144mg,1.0mmol)和三氟化硼乙醚(28mg,0.2mmol),混合均匀后,用注射器缓慢加入S4(37mg,0.2mmol)的二氯甲烷溶液(0.5ml),在室温下搅拌8小时。反应结束,加水淬灭反应,二氯甲烷(3×2.0mL)萃取。合并有机相,饱和食盐水洗涤,无水硫酸钠干燥。过滤并浓缩滤液,得粗产物。最后经柱层析纯化(石油醚/乙酸乙酯=10:1,v/v),得到产物4,淡黄色油状物(43.6mg,产率68%)。1H NMR(400MHz,CDCl3):7.61–7.50(m,2H),7.44–7.36(m,2H),7.35–7.29(m,1H),6.79–6.52(m,2H),5.66–5.56(m,1H),4.72–4.64(m,1H),4.63–4.57(m,1H),3.94(ddp,J=10.7,4.5,2.4Hz,1H),2.46(td,J=10.9,3.6Hz,1H),2.33–2.19(m,1H),2.18–2.08(m,1H),1.92–1.77(m,5H),1.73–1.66(m,3H)ppm.13C NMR(101MHz,CDCl3):149.18,140.85,140.45,140.34,128.63,127.35,126.78,123.76,115.76,111.09,46.13,37.35,30.43,28.41,23.71,20.50ppm.HRMS(m/z):[MH]–calcdforC22H23O2–319.1704,found 319.1698.
实施例5
反应在配有搅拌棒的烘干5mL反应瓶中进行。在氩气气氛下,先加入先加入A2(22mg,0.2mmol)接着加入2mL二氯甲烷溶解,依次加入丁二酸镁(144mg,1.0mmol)和三氟化硼乙醚(28mg,0.2mmol),混合均匀后,用注射器缓慢加入S1(36mg,0.2mmol)的二氯甲烷溶液(0.5ml),在室温下搅拌8小时。反应结束,加水淬灭反应,二氯甲烷(3×2.0mL)萃取。合并有机相,饱和食盐水洗涤,无水硫酸钠干燥。过滤并浓缩滤液,得粗产物。最后经柱层析纯化(石油醚/乙酸乙酯=10:1,v/v),得到产物5,淡黄色油状物(22.4mg,产率40%)。1H NMR(400MHz,CDCl3):6.22(s,2H),5.64(s,1H),3.89(s,1H),2.44(t,J=7.8Hz,2H),2.20–1.84(m,2H),1.79(s,3H),1.75–1.51(m,6H),1.42–1.20(m,4H),0.89(t,J=6.6Hz,3H)ppm.13C NMR(101MHz,CDCl3):142.9,141.0,123.7,114.4,108.5,35.5,32.2,31.6,30.7,30.0,28.3,24.1,22.5,14.0ppm.HRMS(m/z):[MH]–calcdforC18H25O2–273.1860,found 273.1855.
实施例6
反应在配有搅拌棒的烘干5mL反应瓶中进行。在氩气气氛下,先加入先加入A3(31mg,0.2mmol)接着加入2mL二氯甲烷溶解,依次加入丁二酸镁(144mg,1.0mmol)和三氟化硼乙醚(28mg,0.2mmol),混合均匀后,用注射器缓慢加入S1(36mg,0.2mmol)的二氯甲烷溶液(0.5ml),在室温下搅拌8小时。反应结束,加水淬灭反应,二氯甲烷(3×2.0mL)萃取。合并有机相,饱和食盐水洗涤,无水硫酸钠干燥。过滤并浓缩滤液,得粗产物。最后经柱层析纯化(石油醚/乙酸乙酯=10:1,v/v),得到产物6,黄色油状物(15.7mg,产率22%)。1H NMR(400MHz,CDCl3):6.25(s,2H),5.33–5.22(m,1H),5.12–4.98(m,1H),3.46–3.35(m,2H),2.52–2.39(m,2H),2.15–2.01(m,4H),1.85–1.79(m,3H),1.70–1.64(m,3H),1.62–1.52(m,5H),1.42–1.22(m,4H),0.95–0.82(m,3H)ppm.13C NMR(101MHz,CDCl3):154.8,142.8,139.0,132.1,123.8,121.7,110.6,108.3,39.7,35.5,31.5,30.8,26.4,22.6,22.3,17.7,16.2,14.0ppmHRMS(m/z):[MH]–calcdforC21H31O2–315.2330,found 315.2324.
实施例7
按照实施例16操作,仅仅将反应底物进行改变,得到系列大麻二酚的衍生物。
以上所述仅是本发明的较佳实施例而已,并非对本发明作任何形式上的限制,虽然本发明已以较佳实施例揭露如上,然而并非用以限定本发明,任何熟悉本专利的技术人员在不脱离本发明技术方案范围内,当可利用上述提示的技术内容作出些许更动或修饰为等同变化的等效实施例,但凡是未脱离本发明技术方案的内容,依据本发明的技术实质对以上实施例所作的任何简单修改、等同变化与修饰,均仍属于本发明方案的范围内。
文章摘自国家发明专利,一种大麻二酚及其衍生物的制备方法,发明人:王金鑫,张卫东,李健,崔凯,申请号:202511235071.4,申请日:2025.09.01。
























