摘 要:本发明公开了一种亚麻籽乳联产物在制备主副食品中的应用,将亚麻籽乳联产物作为辅料添加至主副食中,提供了三种亚麻籽乳联产物制备主副食品的应用工艺。本发明通过改善亚麻籽乳联产物的品质,提高亚麻籽乳联产物在主副食品的感官品质及质构特性,提高亚麻籽乳联产物的生物利用度,实现亚麻籽乳联产物的高值化利用。
权利要求书
1.亚麻籽乳联产物在制备主副食品中的应用,其特征在于将亚麻籽乳联产物作为辅料添加至主副食中,制得营养强化型主副食。
2.根据权利要求1所述亚麻籽乳联产物在制备主副食品中的应用,其特征在于所述亚麻籽乳联产物的制备方法,主要步骤如下:
1)调节水分:调节亚麻籽的水分含量为1015%;
2)微波处理:将上述调节水分后的亚麻籽经过微波加热,实现脱毒,并赋予亚麻籽焙烤香味,其中微波功率为650800w,微波时间为520min;
3)浸泡:将步骤2微波处理后的亚麻籽加水浸泡,其中亚麻籽与水的质量比为1:(510);
4)制乳和过滤:将步骤3浸泡处理的亚麻籽经过胶体磨粉碎,使用150200目纱布过滤,滤液为亚麻籽植物乳,滤渣为亚麻籽乳联产物,冷冻保存。
3.根据权利要求2所述亚麻籽乳联产物在制备主副食品中的应用,其特征在于所述亚麻籽乳联产物含有蛋白质36g/100g,脂肪610g/100g,水分7080g/100g,维生素E12g/100g,不饱和脂肪酸47g/100g,亚油酸0.51.5g/100g,α亚麻酸35g/100g,总膳食纤维712g/100g。
4.根据权利要求1所述亚麻籽乳联产物在制备主副食品中的应用,其特征在于具体应用工艺的步骤如下:
(1)烘干:将在冷冻保存的亚麻籽乳联产物常温解冻,水分含量在7080%,平铺于平底容器中,于烘箱中烘干;其中,解冻时间为1014h;平铺厚度为23cm;烘箱温度为8090℃,烘干时间为812h,至亚麻籽乳联产物完全烘干;
(2)冷却:步骤(1)所得烘干后的亚麻籽乳联产物于干燥洁净环境中自然冷却至室温,注意防止吸潮;
(3)粉碎过筛:步骤(2)所得冷却至室温后的亚麻籽乳联产物使用粉碎机粉碎并过筛,得到亚麻籽乳联产物超微粉,粒径在2040目范围内;
(4)复配:亚麻籽乳联产物超微粉加入主副食品的制备原料中,从而制备得到亚麻籽乳联产物营养强化型主副食品。
5.根据权利要求1所述亚麻籽乳联产物在制备主副食品中的应用,其特征在于具体应用工艺的步骤如下:
(1)冰浴超声:将冷冻保存的亚麻籽乳联产物经过常温解冻后,测定水分含量,然后加水稀释至水分含量为90%93%,稀释过程配合冰浴超声;其中,冰浴超声的时间为0.51h,超声功率为500700W,转速5001000r;
(2)纤维素酶酶解:步骤(1)所得溶液加入纤维素酶酶解,然后进行加热灭酶,得到酶解后的亚麻籽乳联产物溶液;其中,纤维素酶酶解时,温度为4555℃,溶液pH为36,纤维素酶的添加量为底物干重的1%2.5%,酶解时间为25h,转速为5001000r;灭酶温度为90100℃,灭酶时间为1015min;
(3)喷雾干燥:将步骤(2)所得酶解后的亚麻籽乳联产物溶液经过喷雾干燥,得到粒径在6080目范围内的小粒径亚麻籽乳联产物粉;其中,喷雾干燥时,底物浓度为710%,入风温度160200℃,出风温度80120℃,进料速度46ml/min;
(4)复配:将小粒径亚麻籽乳联产物粉加入主副食品的制备原料中,从而制备得到亚麻籽乳联产物营养强化型主副食品。
6.根据权利要求1所述亚麻籽乳联产物在制备主副食品中的应用,其特征在于具体应用工艺的步骤如下:
(1)冷冻干燥:将冷冻保存的亚麻籽乳联产物常温解冻后,平铺于平底容器中,厚度一般12cm,保鲜膜覆盖并扎小孔,防止亚麻籽乳联产物在抽真空过程中飞出,并保持流通气孔,80℃条件预冷后,使用真空冷冻干燥机在60℃冷冻干燥2472h;
(2)粉碎过筛:步骤(1)所得的冷冻干燥的亚麻籽乳联产物使用粉碎机粉碎并过40目筛,得到亚麻籽乳联产物粉末;
(3)复配:将亚麻籽乳联产物粉末加入主副食品的制备原料中,从而制备得到亚麻籽乳联产物营养强化型主副食品。
7.根据权利要求4或5或6所述亚麻籽乳联产物在制备主副食品中的应用,其特征在于所述主副食包括面包、馒头、面条、饼干,其制备原料主要是面粉。
8.根据权利要求7所述亚麻籽乳联产物在制备主副食品中的应用,其特征在于其中,当主副食为面包,馒头,面条中的一种时,添加量为516wt%;当主副食为饼干时,添加量为545wt%。亚麻籽乳联产物在制备主副食品中的应用及包含亚麻籽联乳产物的主副食品
技术领域
本发明属于食品加工领域,具体涉及一种亚麻籽乳联产物在制备主副食品中的应用及包含亚麻籽乳联产物的主副食品。
背景技术
亚麻别名胡麻,属于双子叶植物门亚麻籽属亚麻科,是一种开蓝色花的一年生草本植物,能产生小而扁平的种子,即亚麻籽,颜色从金黄色到红棕色不等,熟亚麻籽具有酥脆的口感和坚果的味道。研究表明:亚麻籽中含有α亚麻酸(ALA),木脂素,优质蛋白质,膳食纤维等成分,也含有丰富的维生素,矿物质,植物甾醇和酚类化合物等微量营养素。亚麻籽蛋白质氨基酸种类齐全,其中人体所需必需氨基酸含量高达5.16%,是一种营养价值较高的植物蛋白质。
亚麻籽所榨取的油,就被称为亚麻籽油。亚麻籽油中含有的功能成分,这些年来得到越来越多人的关注及认同,例如,α亚麻酸,亚油酸,油酸等,胆固醇含量为0%,其中α亚麻酸含量最高可达53%,是其他植物油所无法匹及的,而且α亚麻酸是人体所必需的脂肪酸,经人体消化作用后可形成为二十碳五烯酸和二十二碳六烯酸,它们为鱼油中的有效活性成分,除此之外,α亚麻酸还具有降血脂,降血压,预防肿瘤,预防血栓的形成,为大脑细胞提供营养,预防老年痴呆,调节植物神经等作用,近年受到国内外学者越来越多的关注。
亚麻籽在我国主要应用于榨取植物油,同时也出现了多种亚麻籽食品,例如亚麻籽代餐粉,亚麻籽面包,亚麻籽饼干,亚麻籽植物乳等。亚麻籽的高营养价值和特殊的感官风味为亚麻籽食品添加量与众不同的特色。与此同时,随着对亚麻籽研究利用越来越广泛,在亚麻籽加工过程中也会产生各种副产品,例如亚麻籽粕,亚麻籽壳,亚麻籽胶粉等。这些亚麻籽副产品由于其中含有部分抗营养因子,如亚麻籽胶、植酸、变应原、生氰糖苷、胰蛋白酶抑制因子、抗VB6因子等,特别是生氰糖苷,使得亚麻籽副产物目前主要应用于饲料,肥料等低价值应用或直接作为废弃物丢弃,造成对资源和环境的危害,但其中含有的丰富营养物质并没有得到有效的利用。
发明内容
本发明所要解决的技术问题是针对上述现有技术存在的不足而提供了亚麻籽乳联产物在制备主副食品中的应用以及方法,通过改善亚麻籽乳联产物的品质,提高亚麻籽乳联产物在主副食品的感官品质及质构特性,提高亚麻籽乳联产物的生物利用度,实现亚麻籽乳联产物的高值化利用。
本发明为解决上述提出的问题所采用的技术方案为:
亚麻籽乳联产物在制备主副食品中的应用,作为辅料添加至主副食中,制得营养强化型主副食;其中,所述亚麻籽乳联产物的制备方法,主要步骤如下:
1.调节水分:调节亚麻籽的水分含量为1015%;
2.微波处理:将上述调节水分后的亚麻籽经过微波加热,实现脱毒,并赋予亚麻籽焙烤香味,其中微波功率为650800w,微波时间为520min;
3.浸泡:将步骤2微波处理后的亚麻籽加水浸泡,其中亚麻籽与水的质量比为1:(510);
4.制乳:将步骤3浸泡处理的亚麻籽经过胶体磨粉碎,粉碎时间为1015min,然后使用150200目纱布过滤,滤液为亚麻籽植物乳,滤渣为亚麻籽乳联产物,在18℃左右冷冻保存。
上述亚麻籽乳联产物含有蛋白质36g/100g,脂肪610g/100g,水分7080g/100g,维生素E12g/100g,不饱和脂肪酸47g/100g,亚油酸0.51.5g/100g,α亚麻酸35g/100g,总膳食纤维712g/100g。
进一步地,本发明提供三种亚麻籽乳联产物制备主副食品的应用工艺,如图1所示。第一种工艺,具体步骤如下:
(1)烘干:将在冷冻保存的亚麻籽乳联产物常温解冻,水分含量在7080%,平铺于平底容器中,于烘箱中烘干;其中,解冻时间为1014h;平铺厚度为23cm;烘箱温度为8090℃,烘干时间为812h,至亚麻籽乳联产物完全烘干;
(2)冷却:步骤(1)所得烘干后的亚麻籽乳联产物于干燥洁净环境中自然冷却至室温,注意防止吸潮;
(3)粉碎过筛:步骤(2)所得冷却至室温后的亚麻籽乳联产物使用粉碎机粉碎并过筛,得到亚麻籽乳联产物超微粉,粒径在2040目范围内;
(4)复配:亚麻籽乳联产物超微粉加入主副食品的制备原料中,从而制备得到亚麻籽乳联产物营养强化型主副食品。
第二种工艺,具体步骤如下:
(1)冰浴超声:将冷冻保存的亚麻籽乳联产物经过常温解冻后,测定水分含量,然后加水稀释至水分含量为90%93%,稀释过程配合冰浴超声;其中,冰浴超声的时间为0.51h,超声功率为500700W,转速5001000r;
(2)纤维素酶酶解:步骤(1)所得溶液加入纤维素酶酶解,然后进行加热灭酶,得到酶解后的亚麻籽乳联产物溶液;其中,纤维素酶酶解时,温度为4555℃,溶液pH为36,纤维素酶的添加量为底物干重的1%2.5%,酶解时间为25h,转速为5001000r;灭酶温度为90100℃,灭酶时间为1015min;
(3)喷雾干燥:将步骤(2)所得酶解后的亚麻籽乳联产物溶液经过喷雾干燥,得到粒径在6080目范围内的小粒径亚麻籽乳联产物粉;其中,喷雾干燥时,底物浓度为710%,入风温度160200℃,出风温度80120℃,进料速度46ml/min;
(4)复配:将小粒径亚麻籽乳联产物粉加入主副食品的制备原料中,从而制备得到亚麻籽乳联产物营养强化型主副食品。
第三种工艺,具体步骤如下:
(1)冷冻干燥:将冷冻保存的亚麻籽乳联产物常温解冻后,平铺于平底容器中,厚度一般12cm,保鲜膜覆盖并用牙签扎小孔,防止亚麻籽乳联产物在抽真空过程中飞出,并保持流通气孔,80℃条件预冷后,使用真空冷冻干燥机在60℃冷冻干燥2472h;
(4)粉碎过筛:步骤(1)所得的冷冻干燥的亚麻籽乳联产物使用粉碎机粉碎并过40目筛,得到亚麻籽乳联产物粉末;
(5)复配:将亚麻籽乳联产物粉末加入主副食品的制备原料中,从而制备得到亚麻籽乳联产物营养强化型主副食品。
按上述方案,所述主副食包括面包、馒头、面条、饼干等,其制备原料主要是面粉,因此,亚麻籽乳联产物超微粉加入面粉中时,添加量根据主副食品不同有所调节。其中,当主副食为面包,馒头,面条等时,添加量为516wt%,优选6wt%;当主副食为饼干时,添加量为545wt%,优选15wt%。
上述方法制备的亚麻籽乳联产物营养强化型主副食结构致密,同时提升主副食品营养价值,优化主副食品感官风味。
与现有技术相比,本发明的有益效果是:
首先,本发明将亚麻籽乳联产物经过各种处理制备成超微粉后用于主副食中,可以强化主副食品营养价值,完善主副食品的感官品质,优化其质构特性,解决了亚麻籽乳联产物由于颗粒度大,纤维素含量高,直接添加入食品会使食品口感变差,质感变得粗糙,以及高温处理条件会使得亚麻籽乳联产物中α亚麻酸分解,降低其营养价值等原因造成的亚麻籽乳联产物不利于制备主副食品的问题。
第二,亚麻籽乳联产物在制备植物乳过程中会进行微波脱毒,解决了亚麻籽副产物中含有生氰糖苷而无法应用于食品中的问题。
第三,本发明采用超微粉碎或低温物理场协同酶作用水解等方式处理亚麻籽乳联产物,并控制其粒度来制备亚麻籽乳联产物超微粉,不仅优化了亚麻籽乳联产物理化特性,而且同时提高亚麻籽乳联产物消化率,帮助人体有效吸收这些营养成分。其中,低温超声物理场产生机械效应,空穴效应,释放大量能量,并伴随强烈的机械冲击,使得亚麻籽乳联产物受到破坏和局部的侵蚀,随后通过蛋白酶降解蛋白质,并协同纤维素酶水解膳食纤维,降解细胞壁,从而控制亚麻籽乳联产物粒径。
第四,本发明还提高了亚麻籽乳联产物生物利用度,实现亚麻籽乳联产物高值化利用,防止资源浪费,并减少亚麻籽乳联产物被抛弃对环境造成的污染,以及减少处理亚麻籽乳联产物所造成的人工、社会成本。
附图说明
图1为亚麻籽乳联产物应用于主副食品制备的三种工艺路线图;
图1
图2为亚麻籽乳联产物的SEM;
图2
图3为亚麻籽乳联产物的粒径;
图3
图4为实施例1亚麻籽乳联产物粉碎过筛后的粒径分布图;
图4
图5为实施例2亚麻籽乳联产物酶解后喷雾干燥的粒径分布图。
图5
图6为实施例3亚麻籽乳联产物酶解后喷雾干燥的粒径分布图。
图6
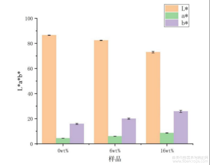
图7为实施例1的亚麻籽乳联产物营养强化型馒头的色差分析。
图7
图8为实施例1的亚麻籽乳联产物营养强化型馒头的SEM;其中,(a)为亚麻籽乳联产物0wt%添加量的营养强化型馒头的SEM,(b)亚麻籽乳联产物6wt%添加量的营养强化型馒头的SEM;(c)亚麻籽乳联产物16wt%添加量的营养强化型馒头的SEM。
图8
图9为实施例2的亚麻籽乳联产物营养强化型面条的色差分析。
图9
图10为实施例2的亚麻籽乳联产物营养强化型面条的SEM;其中,(a,d)为亚麻籽乳联产物0wt%添加量的营养强化型面条的SEM,(b,e)亚麻籽乳联产物6wt%添加量的营养强化型面条的SEM;(c,f)亚麻籽乳联产物16wt%添加量的营养强化型面条的SEM。
图10
图11为实施例3的亚麻籽乳联产物营养强化型面包的色差分析。
图11
图12为实施例4的亚麻籽乳联产物营养强化型曲奇饼干的色差分析。
图12
图13为实施例4的亚麻籽乳联产物营养强化型曲奇饼干的延展比分析。
图13
具体实施方式
为了更好地理解本发明,下面结合实施例进一步阐明本发明的内容,但本发明不仅仅局限于下面的实施例。
下述实施例中,所述亚麻籽乳联产物的制备方法,具体步骤如下:
1.调节水分:调节亚麻籽的水分含量为13%。
2.微波处理:将上述调节水分后的亚麻籽经过微波加热,实现脱毒,并赋予亚麻籽焙烤香味,其中微波功率为720w,微波时间为9min;
3.浸泡:将步骤2微波处理后的亚麻籽加水浸泡,其中亚麻籽与水的质量比为1:7;
4.制乳:将步骤3浸泡处理的亚麻籽经过胶体磨粉碎,达到乳化和分散的效果,其中粉碎时间为12min;
5.过滤:将步骤4所得产物使用150200目纱布过滤,滤液为亚麻籽植物乳,滤渣为亚麻籽乳联产物。所得的亚麻籽乳联产物于18℃条件下冷冻保存,后续使用时常温条件下解冻。
如图2所示,亚麻籽乳联产物结构多样,其中包含a,b中所示的多孔状结构,也包含c中显示平滑片状结构,同时也包括d中的卷曲形状结构。如图3所示,为亚麻籽乳联产物粒径分布图,D10=80μm,D50=213μm,D90=437μm.
上述亚麻籽乳联产物含有蛋白质5.51g/100g,脂肪8.3g/100g,水分74.3g/100g,维生素E1.46g/100g,不饱和脂肪酸6.97g/100g,亚油酸1.10g/100g,α亚麻酸4.38g/100g,总膳食纤维10.4g/100g。
实施例1
亚麻籽乳联产物制备主副食品的应用方法,本实施例主副食品以馒头为例,具体包括如下步骤:
(1)本实施例采用的亚麻籽乳联产物含有74%的水分,处于冷冻保存状态,经过解冻12h后,呈膏状,平铺于平底盘中,厚度约为2cm,置于90℃烘箱上层,烘干6h后,放置于干燥环境降至室温,得到干燥后的亚麻籽乳联产物;
(2)步骤(1)所述干燥后的亚麻籽乳联产物使用铲刀从平底盘刮起,然后使用高速粉碎机粉碎30s,过40目筛,得到亚麻籽乳联产物超微粉;如图4所示,该高速粉碎机粉碎后亚麻籽乳联产物的粒径分布图,D10=31.5μm,D50=95.3μm,D90=225μm,相较于未经处理的亚麻籽乳联产物,粒径明显减小;
(3)将上述亚麻籽乳联产物超微粉添加于面粉中进行复配,添加量分别为0wt%,6wt%,16wt%,然后加入酵母粉和生活饮用水,经过配料,和面,发酵,成型,醒发,冷却,包装等,制作成亚麻籽乳联产物营养强化型馒头。
表1为实施例1制作的亚麻籽乳联产物营养强化型馒头的质构特性。表2为实施例1制作的亚麻籽乳联产物添加量为6wt%的亚麻籽乳联产物营养强化型馒头的成分检测报告。
表1
注:不同写字母代表亚麻籽乳联产物不同添加量的同一指标显著性差异(P<0.05)
表2 理化检测结果
由表1可知,相较于添加量为0wt%和16wt%的亚麻籽乳联产物强化馒头,添加量6wt%的亚麻籽乳联产物强化馒头脆性,硬度,咀嚼性,胶粘性显著提升;随着添加量的增加,弹性逐渐升高,黏附性,内聚性无显著性差异。由表2可知,亚麻籽乳联产物添加量为6wt%的馒头,α亚麻酸含量达到0.578g/100g,总膳食纤维含量达到3.48g/100g,蛋白质含量达到7.79g/100g,且水分与pH符合GB/T 21118的要求。
由图7可知,随着亚麻籽乳联产物添加量的增加,L*值显著降低,a*,b*值有所增高,这是因为亚麻籽乳联产物相较于普通小麦粉颜色更深一些,随着添加量的增高,色泽变暗,颜色加深。由图8可知,亚麻籽乳联产物的添加会使大孔径增多,相较于添加量为0wt%和16wt%的馒头,添加量为6wt%的馒头拥有更多孔隙。可能是由于膳食纤维的填充作用,馒头中的气室被分为更多小的气室,从而增加了馒头气孔的密度,而添加量6wt%的亚麻籽乳联产物强化馒头相较于添加量16wt%的亚麻籽乳联产物强化馒头膳食纤维更少一些,面筋蛋白网络结构破坏较少,孔隙密度增加,增加了馒头的持气性,使得质构特性优于0wt%和16wt%添加量的馒头。
由上所述,亚麻籽乳联产物的添加会使馒头含有丰富的α亚麻酸,膳食纤维,蛋白质等营养物质,增加馒头的营养价值,丰富馒头的营养品质。同时,相较于添加量为0wt%和16wt%的馒头,6wt%添加量的亚麻籽乳联产物强化馒头品质更加优异,强化了馒头的咀嚼感,优化亚麻籽乳联产物的质构特性和感官品质,同时色泽变化使得亚麻籽乳联产物强化馒头与其他品类馒头区分,更具有特点,但也不会使消费者难以接受,这让亚麻籽乳联产物馒头更容易被市场接受。
实施例2
亚麻籽乳联产物制备主副食品的应用方法,本实施例主副食品以面条为例,具体包括如下步骤:
(1)本实施例采用的亚麻籽乳联产物含有74%的水分,处于冷冻保存状态,经过解冻12h后,呈膏状,加水稀释成亚麻籽乳联产物浓度为7%的溶液;其中,稀释过程中配合冰浴使用超声波声波细胞破碎仪超声1h,超声功率600W,转速700r;
(2)将步骤(1)超声后的亚麻籽乳联产物溶液的pH用1M的稀盐酸调至5,然后加入底物干重1.5%的纤维素酶,在50℃下酶解3h,转速1000r,然后进行100℃加热灭酶处理;
(3)将步骤(2)酶解后的亚麻籽乳联产物溶液进行喷雾干燥,入风温度160℃,出风温度90℃,进料速度6ml/min,得到亚麻籽乳联产物超微粉,如图5所示,D10=5.76μm,D50=51.5μm,D90=232μm;
(4)将亚麻籽乳联产物超微粉添加于面粉中进行复配,添加量分别为0wt%,6wt%,16%,添加食用盐,碳酸钠为辅料制作亚麻籽乳联产物营养强化型面条。
表3为实施例2制作的亚麻籽乳联产物营养强化型面条的质构特性。表4为实施例2制作的亚麻籽乳联产物添加量为6wt%的亚麻籽乳联产物营养强化型面条的成分检测报告。
表3
注:不同写字母代表亚麻籽乳联产物不同添加量的同一指标显著性差异(P<0.05)
表4 理化检测结果:
由表3可知,相较于添加量为0wt%和16wt%的亚麻籽乳联产物强化型面条,添加量为6wt%的面条,脆性,硬度,胶粘性,咀嚼性最小,而添加量为16wt%的面条脆性,硬度,胶粘性最大。随着添加量的增加,粘附性,弹性逐渐减小,内聚性无显著性差异。由表4可知,添加量为6wt%的亚麻籽乳联产物强化面条中α亚麻酸含量达到1g/100g,总膳食纤维含量达到3.22g/100,蛋白质含量达到10.5g/100g,且水分与酸度符合国标GB/T 40636。
由图9可知,随着亚麻籽乳联产物添加量的增加,L*值有所降低,a*,b*值有所增高,这是因为亚麻籽乳联产物相较于普通小麦粉颜色更深一些,随着添加量的增高,色泽变暗,颜色加深。由图10可知,亚麻籽乳联产物的添加,会使得面条结构变得更加致密,孔隙减小,随着亚麻籽乳联产物添加量的增加,亚麻籽乳联产物与面粉结合的更加紧密。
亚麻籽乳联产物的添加,使得面条表面的结构致密,面筋网络被淀粉颗粒包裹,发生这种现象的原因可能是由于挂面在制备挤压过程中产生热效应和剪切效应,纤维素形成取向特征,使得亚麻籽乳联产物与面粉发生更加紧密的连接。由于挂面与实施例1的馒头制作工艺不同,同时没有发酵步骤产生孔隙。但是,亚麻籽乳联产物的添加也使得亚麻籽乳联产物强化面条中富含α亚麻酸,蛋白质,膳食纤维等多种营养物质,色泽的变化让产品更加具有特点,同时使得面条更加柔软,易咀嚼,带有淡淡的亚麻籽清香,优化面条质构特征和感官品质,使得面条更加适应于市场,更有产品特征。
实施例3
亚麻籽乳联产物制备主副食品的应用方法,本实施例主副食品以面包为例,具体包括如下步骤:
(1)本实施例采用的亚麻籽乳联产物含有74%的水分,处于冷冻保存状态,经过解冻12h后,呈膏状,加水稀释成亚麻籽乳联产物浓度为7%的溶液;其中,稀释过程中配合冰浴使用超声波声波细胞破碎仪超声1h,超声功率600W,转速700r;
(2)将步骤(1)超声后的亚麻籽乳联产物溶液的pH用1M的稀盐酸调至5,然后加入底物干重1.5%的纤维素酶,在50℃下酶解3h,转速1000r,然后进行100℃加热灭酶处理;
(5)将步骤(2)酶解后的亚麻籽乳联产物溶液进行喷雾干燥,入风温度160℃,出风温度90℃,进料速度5ml/min,得到亚麻籽乳联产物超微粉,如图6所示,D10=4.39μm,D50=29.3μm,D90=68.5μm;
(3)将亚麻籽乳联产物超微粉添加于面粉中进行复配,添加量分别为0wt%,6wt%,16wt%,添加酵母,生活饮用水,经过搅拌,发酵,整形,醒发,熟制等工艺制作成亚麻籽乳联产物营养强化型面包。
表5为实施例3制作的亚麻籽乳联产物营养强化型面包的质构特性。表6为实施例3制作的亚麻籽乳联产物添加量为6wt%的亚麻籽乳联产物营养强化型面包的成分检测报告。
表5
注:不同写字母代表亚麻籽乳联产物不同添加量的同一指标显著性差异(P<O.05)
表6 理化检测结果:
由表5可知,随着亚麻籽乳联产物添加量的增加,脆性,硬度,胶粘性,咀嚼性逐渐增加,黏附性,内聚性逐渐降低,6wt%添加量的弹性高于0wt%和16wt%添加量的亚麻籽乳联产物强化面包。而由表6可知,添加量为6wt%的亚麻籽乳联产物强化面包中α亚麻酸含量达到0.588g/100g,总膳食纤维含量达到3.10g/100,蛋白质含量达到9.95g/100g,且酸价与过氧化值符合国标GB 7099。
由图11可知,随着亚麻籽乳联产物添加量的增加,L*值有所降低,a*,b*值有所增高,这是因为亚麻籽乳联产物相较于普通小麦粉颜色更深一些,随着添加量的增高,色泽变暗,颜色加深。亚麻籽乳联产物的添加使得面包具有丰富的膳食纤维,α亚麻酸,蛋白质等营养成分,营养价值更加丰富。而6wt%添加量的亚麻籽乳联产物强化面包相较于0wt%和16wt%的面包更具弹性,并带有淡淡的亚麻籽清香,色泽加深使得亚麻籽乳联产物强化面包更具食欲,并且感官品质的变化在可接受范围内,使得亚麻籽乳联产物制强化面包更易于被消费者所接受。
实施例4
亚麻籽乳联产物制备主副食品的应用方法,本实施例主副食品以曲奇饼干为例,具体包括如下步骤:
(1)本实施例采用的亚麻籽乳联产物含有74%的水分,处于冷冻保存状态,经过解冻12h后,呈膏状,铺于塑料饭盒中,厚度为2cm,保鲜膜包裹,牙签扎透气孔,于80℃冰箱中预冷5h,真空冷冻干燥机中冷冻干燥48h;
(2)步骤(1)冷冻干燥后的亚麻籽乳联产物于干燥的粉碎机中粉碎10s,并过40目筛,得到亚麻籽乳联产物超微粉;
(3)将亚麻籽乳联产物超微粉与面粉复配,添加量分别为0wt%,15wt%,45wt%,然后添加白砂糖、奶油、乳粉、鸡蛋等配料搅拌成面团,经成型、烘烤熟制、冷却、金属探测、包装等工艺制成亚麻籽乳联产物营养强化型曲奇饼干。
表7为实施例4制作的亚麻籽乳联产物营养强化型曲奇饼干的质构特性。表8为实施例4制作的亚麻籽乳联产物添加量为15wt%的亚麻籽乳联产物营养强化型曲奇饼干的成分检测报告。
表7
注:不同写字母代表亚麻籽乳联产物不同添加量的同一指标显著性差异(P<0.05)
表8 理化检测结果:
由表7可知,亚麻籽乳联产物的添加使得弹性和胶粘性降低,同时,相较于添加量为0wt%和45wt%的曲奇饼干,添加量为15wt%的亚麻籽乳联产物强化曲奇饼干的脆性,硬度,更小一些,黏附性无显著性差异。由表8可知,添加量为15wt%的亚麻籽乳联产物强化曲奇饼干中α亚麻酸含量达到1.63g/100g,总膳食纤维含量达到3.59g/100,蛋白质含量达到7.64g/100g,且酸价与过氧化值符合国标GB 7100。
由图12可知,随着亚麻籽乳联产物添加量的增加,L*值有所降低,a*值有所增高,这是因为亚麻籽乳联产物相较于普通小麦粉颜色更深一些,随着添加量的增高,色泽变暗,颜色加深。由图13可知,随着亚麻籽乳联产物添加量的增加,亚麻籽乳联产物强化曲奇饼干延展比逐渐降低。亚麻籽乳联产物的添加使得亚麻籽乳联产物强化曲奇饼干含有丰富的α亚麻酸,膳食纤维,蛋白质等营养物质,丰富了曲奇饼干的营养价值,使得曲奇饼干更健康。同时15wt%添加量亚麻籽乳联产物的曲奇饼干更加松软,同时色泽加深,感官品质与质构特性优异。亚麻籽乳联产物的添加使得曲奇饼干延展性降低,更容易保持饼干的花纹。由此,产品更易于被消费者所接受。
综上所述,亚麻籽乳联产物的添加,会使得主副食品营养价值更加丰富,同时增加产品中的膳食纤维含量,且由于不同产品的制备工艺不同,对于各个产品质构特性的影响也不同。但总体来说,一定含量的亚麻籽乳联产物的添加使得会使得产品感官品质更加丰富,具有亚麻籽特有风味。另外,随着添加量的增加,也会加深产品的色泽,使得产品更具有特色。
以上所述仅是本发明的优选实施方式,应当指出,对于本领域的普通技术人员来说,在不脱离本发明创造构思的前提下,还可以做出若干改进和变换,这些都属于本发明的保护范围。
摘自国家发明专利,发明人:汤虎,邓乾春,王佳慧,黄凤洪,申请号:202211349583.X,申请日2022.10.31





















