设为首页
加入收藏
首 页
团队建设
团队成员
最新动态
麻类行情
麻类价格
肥料行情
原理技术
施肥原理
施肥技术
最新技术
数据库
配方施肥
缺素诊断
专家系统
麻类咨询
标准规范
技术标准
技术规范
交流园地
智能模糊搜索
仅搜索标题
作者:
来源:
中国麻纺行业协会秘书处
发布时间:
2012-07-24
Tag:
点击:
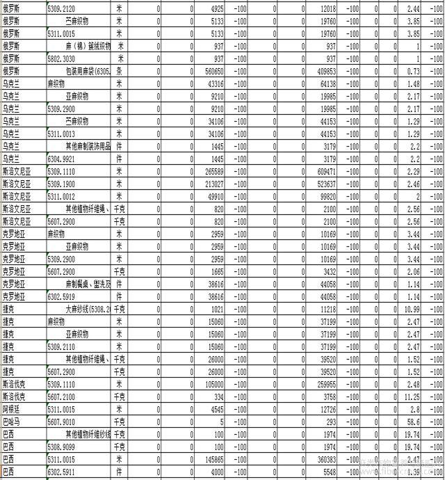
2012年5月麻类纤维、纺织及制品分国别出口量值表
更多阅读
上一篇:
2012年5月麻类纤维、纺织及制品分国别进口量值表
下一篇:
2012年5月麻类纤维、纺织及制品分收货地进口量值表
文章排行
麻农不愿意种植苎麻,苎麻产
[麻进展]罗布麻茶中总黄酮测
工业大麻苗期雌雄株鉴定方法
不断创新,实现梦想----农民
云南省工业用大麻管理暂行规
亚麻和粘胶特性与混纺
湖南苎麻产业现状及发展对策
苎麻产业发展现状、植麻效益
黄/红麻试验示范现场观摩交
中国麻文化
最新文章
[麻专利]一种亚麻子的薄层鉴
[麻专利]一种亚麻纤维布酸洗
[麻专利]一种亚麻纱双碱煮煮
[麻专利]一种将工业大麻花叶
[麻专利]一种矮壮素在工业大
[麻新闻]一粒胡麻籽的蝶变
[麻新闻]小苎麻织出大产业
[麻进展]苎麻回潮率和含水率
[麻进展]种群直流舀种式胡麻
[麻进展]纤籽兼用亚麻新品种
关于本站
|
网站导航
|
实用查询
|
交流园地
|
管理登录
|
访问统计
|
图片展示
Copyright by Ramie Research Institute of Hunan Agricultural University
湖南农业大学农学院/苎麻研究所 版权所有 2009-2016
湘ICP备10006838号-1
湖南农业大学 互联网创新实验室